Hopp til innhald
Nynorsk

Fag

Oppgåve

Avstand punkt–linje. Vektorfunksjonar

Her kan du øve på å finne avstandar mellom punkt og linjer og finne kvar linjer og kurver skjer dei tre koordinatplana. Nedst på sida kan du laste ned oppgåvene som Word- og pdf-dokument.

Oppgåve 1

Gå til teorisida om avstanden mellom eit punkt og ei linje og vis at linja i dømet i metode 2 er den same linja som i metode 1.

Løysing

Dei tre punkta i dømet i arealmetoden er A0,7,2, B4,0,2 og C3,5,1, og linja skal gå gjennom B og C. Vi lagar ei parameterframstilling for denne linja, som vi kallar lBC.

Ein retningsvektor for linja er

BC=3-4,5-0,1-2=-1,5,-1

Bruker vi B som fast punkt til parameterframstillinga, får vi

lBC:x=4-ty=5tz=2-t

Dette er parameterframstillinga som er brukt i dømet i skalarproduktmetoden. Det er derfor den same linja som er brukt i dei to døma. Sidan det er det same punktet A(0,7,2) vi skulle finne avstanden til, blir det den same avstanden vi kjem fram til i dei to døma.

Oppgåve 2

Vi har gitt punkta A-3,1,0, B1,1,3 og C1,-1,2 og skal finne avstanden frå C til linja gjennom A og B.

a) Kva for ein av dei to metodane vi har kalla arealmetoden og skalarproduktmetoden, vil du velje å bruke?

Løysing

Sidan vi ikkje har gitt noka parameterframstilling for linja, kan det vere enklast å bruke arealmetoden.

b) Finn avstanden frå C til linja gjennom A og B. Løys oppgåva utan hjelpemiddel først og så med hjelpemiddel.

Løysing

Utan hjelpemiddel:

Vi set

a=AB=1--3,1-1,3-0=4,0,3

a=42+02+32=16+9=25=5

b=AC=1--3,1-1,3-0=4,-2,2

a×b=[0·2--2·3,3·4-2·4,4·-2-4·0]=6,4,-8

a×b=62+42+-82=36+16+64=116=229

Vi får

h = a×ba=2295=2529

Avstanden frå C til linja gjennom A og B er 2529.

Med hjelpemiddel:

Oppgåve 3

Løys alle deloppgåvene utan hjelpemiddel først og så med hjelpemiddel.

Vi har gitt punkta A2,0,0, B0,4,0, C0,0,6 og D1,-2,6.

a) Finn avstanden frå A til linja gjennom C og D.

Tips til oppgåva

Teikn hjelpefigur.

Løysing

Vi set

a = CD=1-0,-2-0,6-6=1,-2,0a = 12+-22+02=1+4=5b = CA=2-0,0-0,0-6=2,0,-6a×b = [-2·-6-0·0,0·2--6·1,1·0-2·-2]= 12,6,4a×b = 122+62+42= 144+36+16= 196= 14

Vi får

h = a×ba=145=1455

Avstanden frå A til linja gjennom C og D er 1455.

Med hjelpemiddel:

b) Finn avstanden frå B til linja gjennom C og D. Kva kan du seie om firkanten ABCD ut ifrå resultatet i a) og b)?

Løysing

Utan hjelpemiddel:

Vi set a=CD=1,-2,0 som i a).

b=CB=0-0,4-0,0-6=0,4,-6

a×b=[-2·-6-4·0,0·0--6·1,1·4-0·-2]=12,6,4

Dette er det same resultatet for kryssproduktet som i oppgåve a). Avstanden frå B til linja gjennom C og D er derfor den same som avstanden frå A til linja gjennom C og D, det vil seie 1455.

Linja gjennom A og B må derfor vere parallell med linja gjennom C og D. Firkanten ABCD er derfor eit trapes.

Med hjelpemiddel:

c) Vis ved å bruke vektorane AB og CD at ABCD er eit trapes.

Løysing

Utan hjelpemiddel:

Dersom linja gjennom A og B er parallell med linja gjennom C og D, må vi ha at AB=k·CD.

AB = 0-2,4-0,0-0 = -2,4,0= -21,-2,0= -2CD

Dei to vektorane er dermed parallelle, og ABCD er eit trapes.

Med hjelpemiddel:

Korleis veit vi eigentleg at vektorane er parallelle ut ifrå dette? Vi veit det sidan likninga har ei løysing. Dersom likninga ikkje har løysing, finst det ingen verdi for k som gjer at AB=k·CD, og då kan ikkje vektorane vere parallelle.

Oppgåve 4

Løys oppgåvene utan hjelpemiddel først og så med hjelpemiddel.

Ei linje m er gitt ved parameterframstillinga

m:x=-4+2ty=1+tz=-2-2t

a) Finn avstanden frå punktet A-3,2,-1 til m.

Løysing

Utan hjelpemiddel:

Ein generell vektor mellom A og eit vilkårleg punkt Pm er

AP = -4+2t--3,1+t-2,-2-2t--1= -1+2t,-1+t,-1-2t

For at lengda av AP skal bli så kort som mogleg, skal AP stå vinkelrett på retningsvektoren til linja, som er vm=2,1,-2.

APvl    AP·vl = 0

Dette gir vidare

          -1+2t,-1+t,-1-2t·2,1,-2 = 0-1+2t·2+-1+t·1+-1-2t·-2 = 0                       -2+4t-1+t+2+4t = 0                                          9t = 1                                             t = 19

Vi set denne t-verdien inn i uttrykket for AP.

AP = -1+2·19,-1+19,-1 -2·19=-79,-89,-119AP=-792+-892+-1192=4981+6481+12181=23481=269=263

Avstanden frå punktet A til linja m er 263.

Med hjelpemiddel:

I linje 4 set vi opp skalarproduktet mellom AP og retningsvektoren for m, som vi finn ved å derivere r(t), og set det lik 0.

I linje 5 har vi brukt kommandoen "HøgreSide" for å hente inn t-verdien. På denne måten får vi eit mest mogleg automatisk oppsett som er enkelt å bruke på nytt.

b) Finn avstanden frå origo til m.

Løysing

Utan hjelpemiddel:

Ein generell vektor mellom origo og eit vilkårleg punkt Pm er det same som posisjonsvektoren til P, og vi får

OP = -4+2t,1+t,-2-2t

Vi krev at OP·vm=0 er vm er ein retningsvektor for m. Dette gir

          -4+2t,1+t,-2-2t·2,1,-2 = 0-4+2t·2+1+t·1+-2-2t·-2=0                       -8+4t+1+t+4+4t=0                                          9t=3                                             t=13

Då får vi

AP = -4+2·13,1+13,-2 -2·13=-103,43,-83AP=-1032+432+-832=1009+169+649=1809=20=25

Avstanden frå origo til linja m er 25.

Med hjelpemiddel:

Her har vi brukt CAS-oppsettet frå oppgåve a) på nytt. Sidan punktet er origo, treng vi strengt teke ikkje lage oss ein OP, men kan bruke rt direkte i berekningane i linje 4 og 5.

c) Finn avstanden frå punktet B-2,2,-4 til m. Kva betyr resultatet?

Løysing

Utan hjelpemiddel:

BP = -4+2t--2,1+t-2,-2-2t--4= -2+2t,-1+t,2-2t

Vi krev at BP·vm=0 der vm er ein retningsvektor for m. Dette gir

          -2+2t,-9+t,-2-2t·2,1,-2 = 0-2+2t·2+-1+t·1+2-2t·-2=0                       -4+4t-1+t-4+4t=0                                          9t=9                                             t=1

Då får vi

BP = -2+2·1,-1+1,2 -2·1=0,0,0

Lengda av 0 er 0. Avstanden mellom B og m er 0, som må bety at B ligg på linja m.

Med hjelpemiddel:

d) Finn skjeringspunktet mellom linja m og xy-planet.

Løysing

Utan hjelpemiddel:

I xy-planet er z-koordinaten lik 0. Det betyr at

z = 0-2-2t = 02t = -2t = -1

Skjeringspunktet mellom linja m og xy-planet blir

-4+2·-1,1+-1,0=-6,0,0

Det betyr at dette punktet òg er skjeringspunkt mellom linja og xz-planet sidan y-koordinaten òg er 0. Det betyr vidare at linja har skjeringspunktet -6,0,0 med x-aksen.

Med hjelpemiddel:

I linje 6 bruker vi kommandoen "z" for å plukke ut z-koordinaten til r(t) og set han lik 0.

e) Finn skjeringspunktet mellom linja m og yz-planet.

Løysing

Utan hjelpemiddel:

I yz-planet er x-koordinaten lik 0. Det betyr at

x = 0-4+2t = 02t = 4t = 2

Skjeringspunktet mellom linja m og yz-planet blir

0,1+2,-2-2·2=0,3,-6

Med hjelpemiddel:

Oppgåve 5

Løys oppgåva utan hjelpemiddel.

Vi har gitt den rette linja

l:x=1-2ty=4+tz=2

a) Finn avstanden mellom linja og punktet A3,3,0.

Løysing

Ein generell vektor mellom A og eit vilkårleg punkt Pl er

AP = 1-2t-3,4+t-3,2-0= -2-2t,t+1,2

For at lengda av AP skal bli så kort som mogleg, skal AP stå vinkelrett på retningsvektoren til linja, som er vl=-2,1,0.

Vi krev at AP·vl=0. Dette gir

 -2-2t,t+1,2·-2,1,0 = 0-2-2t·-2+t+1·1+2·0 = 04+4t+t+1 = 05t = -5t = -1

Vi set denne t-verdien inn i uttrykket for AP.

AP = -2-2t,t+1,2= -2-2·-1,-1+1,2= 0,0,2

Sidan AP berre har éin koordinat som er forskjellig frå 0, får vi at AP=2.

Avstanden frå punktet A til linja l er 2.

b) Finn skjeringspunktet mellom l og xz-planet dersom det eksisterer.

Løysing

I xz-planet er y=0. Skjeringspunktet mellom linja og xz-planet må derfor ha y-koordinaten 0.

y = 04+t = 0t = -4

Skjeringspunktet er

1-2·-4,0,2=9,0,2

c) Finn skjeringspunktet mellom l og xy-planet dersom det eksisterer.

Løysing

I xy-planet er z=0. Sidan z-koordinaten i parameterframstillinga til linja l er konstant lik 2, har ikkje linja noko skjeringspunkt med xy-planet.

d) Kva betyr det at z-koordinaten i parameterframstillinga til l ikkje inneheld parameteren t?

Forklaring

Når z-koordinaten ikkje inneheld parameteren, vil avstanden frå xy-planet vere konstant lik z-koordinaten. Det betyr at linja er parallell med xy-planet.

e) Vis ved å setje t=-1 i parameterframstillinga for l at avstanden frå punktet A til linja l er 2.

Løysing

Ved å setje t=-1 får vi punktet

1-2·-1,4+-1,2=3,3,2

A har dei same koordinatane bortsett frå z-koordinaten. Det betyr at avstanden mellom A og punktet er lik forskjellen i z-koordinat, det vil seie 2. Litt upresist kan vi seie at punktet A ligg rett under punktet 3,2,2 på linja.

Oppgåve 6

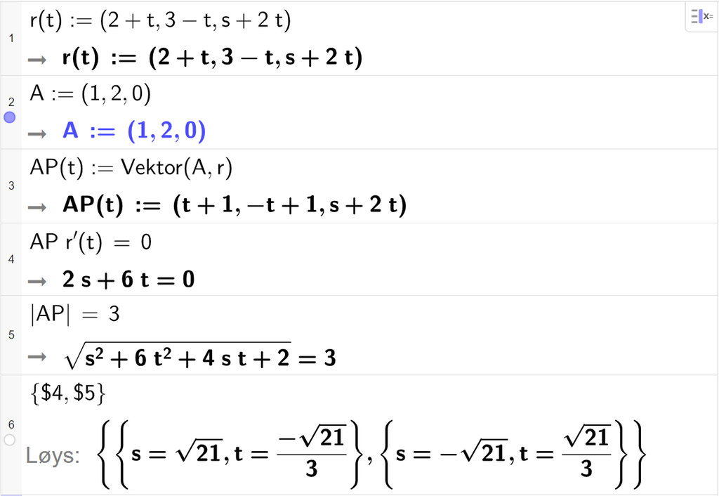
Vi har gitt den rette linja l ved

l:x=2+ty=3-tz=s+2t

Bestem s slik at avstanden mellom punktet A1,2,0 og linja er 3. Løys oppgåva utan hjelpemiddel først, deretter med hjelpemiddel.

Løysing

Ein generell vektor mellom A og eit vilkårleg punkt Pl er

AP = 2+t-1,3-t-2,s+2t-0= t+1,-t+1,s+2t

For at lengda av AP skal bli så kort som mogleg, skal AP stå vinkelrett på retningsvektoren til linja, som er vl=1,-1,2.

Vi krev at AP·vl=0. Dette gir

t+1,-t+1,s+2t·1,-1,2 = 0t+1·1+-t+1·-1+s+2t·2=0t+1+t-1+2s+4t=06t=-2ss=-3t

Vi set denne s-verdien inn i uttrykket for AP.

AP = t+1,-t+1,-3t+2t= t+1,-t+1,-t

Lengda av denne vektoren skal vere lik 3. Det gir

AP = 3t+1,-t+1,-t = 3t+12+-t+12+-t2 = 3t2+2t+1+t2-2t+1+t2 = 33t2+2 = 33t2+2 = 93t2 = 7t2 = 73t = 73        t=-73t = 3·73·3        t=-3·73·3t = 1321        t=-1321

Vi får då

s = -3ts = -3·-1321      s=-3·1321s = 21      s=-21

Løysing med CAS:

Nedlastbare filer

Her kan du laste ned oppgåvene som Word- og pdf-dokument.

Skrive av Bjarne Skurdal, Olav Kristensen og Stein Aanensen.
Sist oppdatert 03.09.2025