a) Finn uten hjelpemidler eventuelle skjæringspunkter mellom linja gitt ved
og planet gitt ved likningen .
Løsning
Vi setter parameterframstillingen for inn i planlikningen for .
Likningen har ingen løsning. Det betyr at linja er parallell med, og ikke sammenfallende med, planet. Det finnes ingen skjæringspunkter.
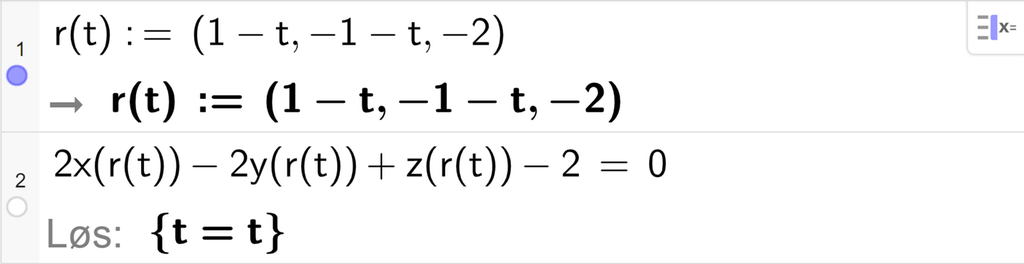
b) Kontroller resultatet i oppgave a) med CAS.
Løsning
Vi får det samme med CAS, det vil si ingen løsning.
c) Finn uten hjelpemidler eventuelle skjæringspunkter mellom linja gitt ved
og planet gitt ved likningen .
Løsning
Vi setter parameterframstillingen for inn i planlikningen for .
Likningen har uendelig mange løsninger. Det betyr at det er uendelig mange skjæringspunkter mellom linja og planet, som igjen betyr at linja ligger i planet.
d) Kontroller resultatet i oppgave c) med CAS.
Løsning
Vi får det samme med CAS, det vil si uendelig mange løsninger.
Lag et program som finner vinkelen mellom ei linje og et plan ut ifra retningsvektoren for linja og normalvektoren til planet.
Løsning
En algoritme for programmet kan se slik ut:
Legg koordinatene til retningsvektoren til linja i ei liste.
Legg koordinatene til normalvektoren til planet i ei liste.
Regn ut vinkelen mellom og ved hjelp av formelen .
Tips til programmet:
Bruk kommandoen "numpy.arccos()" til å regne ut vinkelen.
Bruk kommandoen "numpy.dot()" til å regne ut skalarproduktet mellom og .
Regn ut lengden av vektorene ved å ta kvadratrota av skalarproduktet av vektorene med seg selv.
Programmet kan se slik ut:
python
1import numpy as np
2# legger koordinatene til vektorene i listene n og v3n =(2,-2,1)4v =(-1,0,1)5# regner ut skalarproduktet mellom n og v6n_prikk_v = np.dot(n,v)7#regner ut lengden av n og lengden av v8abs_n = np.sqrt(np.dot(n,n))9abs_v = np.sqrt(np.dot(v,v))1011u = np.arccos(n_prikk_v/abs_n/abs_v)1213print(f"Vinkelen mellom planet og linja er {abs(np.pi/2- u):.2f}.")