I oppgavene nedenfor kan du bruke alle hjelpemidler dersom det ikke står noe annet. Nederst på siden kan du laste ned oppgavene som Word- og pdf-dokumenter.
Gitt en trekant med sider a, b og c slik som på figuren nedenfor der og .
a) Forklar hvorfor vi ikke kan bruke sinussetningen til å finne ukjente vinkler og sider i trekanten.
Løsning
Vi kjenner ikke den motstående siden til den ene vinkelen som er oppgitt. Da vil vi få to ukjente uansett hvordan vi prøver å sette opp sinussetningen, så vi kan ikke bruke den til å løse oppgaven.
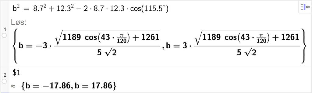
b) Regn ut siden a.
Løsning
Vi setter opp en likning med utgangspunkt i cosinussetningen med vinkel A og løser med CAS i GeoGebra.
Vi ser bort fra den negative løsningen.
Siden .
c) Kan du regne ut siden b i trekanten nedenfor med sinussetningen?
Løsning
Vi kjenner heller ikke her den motstående siden til den ene vinkelen som er oppgitt, så vi kan ikke bruke sinussetningen til å løse oppgaven.
d) Regn ut siden b.
Løsning
Vi setter opp en likning med utgangspunkt i cosinussetningen med vinkel B og løser i GeoGebra.
Siden .
e) Regn ut den ukjente siden x i trekanten nedenfor.
Løsning
Siden x, som vi skal finne, er motstående side til den oppgitte vinkelen. Når vi skal sette opp cosinussetningen, starter vi derfor med . Vi får
I trekanten ABC nedenfor er alle de tre sidene kjent.
a) Finn vinkel A.
Løsning
Vi setter opp en likning med utgangspunkt i cosinussetningen for vinkel , som har siden som er 6,0 cm til motstående side. Da får vi
Vinkel .
b) Bruk sinussetningen til å finne vinkel C.
Løsning
Sinussetningen gir
Her får vi to mulige løsninger når vi setter i de to svaralternativene:
Kan begge alternativene være riktige? Ut fra målene i trekanten kan vi slå fast at vinkel C må være den største vinkelen siden den har størst motstående side. Da kan ikke vinkel C være 39,8 grader. Så det riktige svaret er at .
c) Bruk cosinussetningen til å finne vinkel C. Hvorfor er det bedre å bruke cosinussetningen enn sinussetningen til å finne vinkelen, og hvorfor får vi to mulige løsninger med sinussetningen?
Løsning
Vi setter opp cosinussetningen med utgangspunktet i vinkel C.
Det første svaralternativet gir ingen mulige løsninger fordi når , får vi en vinkel som er større enn 180 grader. Det andre svaralternativet gir, når , at
Med cosinussetningen får vi ett mulig svaralternativ. Grunnen til at vi får to mulige svaralternativer med sinussetningen, er at informasjonen om at , ikke inngår i utregningen. Det er to trekanter som passer med den informasjonen vi putter inn i sinussetningen, men bare én av dem der .
d) Lag en skisse som viser de to mulige trekantene hvis vi ser bort ifra at .
Løsning
De to mulige trekantene er trekanten ABC og trekanten .
Tegn en hjelpefigur til trekanten der du setter på målene.
Løsning
b) Kan vi bruke både sinussetningen og cosinussetningen dersom vi ønsker å finne BC?
Løsning
For å regne ut BC med sinussetningen må vi først finne vinkel A. Og da må vi først finne vinkel C, som vi kan finne med sinussetningen. Det blir en del arbeid.
For å regne ut BC med cosinussetningen kan vi sette opp den med utgangspunkt i vinkel B. Da er bare BC ukjent.
c) Finn BC. Tegn en skisse av trekanten i dette tilfellet.
Løsning
Ut ifra oppgave b) velger vi å bruke cosinussetningen. Vi får
Vi får to mulige trekanter, en der BC er 2,5 cm, og en der BC er 11,4 cm.
Trekantene kan se ut som nedenfor, der vi har kalt de to mulige punktene C for og .
d) Finn BC hvis .
Løsning
Vi får samme oppsett som i forrige oppgave.
Vi får ingen løsning. Det betyr at AC ikke kan være så kort som 3 cm, eller det går ikke an å lage en trekant ABC der og .
Nedenfor har vi skissert hvordan dette ser ut.
e) Hva er den korteste mulige lengden AC kan ha?
Løsning
Den korteste mulige lengden AC kan ha, er når linjestykket fra A til det høyre vinkelbeinet til vinkel B står 90 grader på vinkelbeinet.
Da har vi en rettvinklet trekant der AB er hypotenusen og AC er motstående katet. Det betyr at
Den korteste mulige lengden AC kan ha, er 4 cm.
Her kunne vi også ha brukt at i en rettvinklet trekant der de to andre vinklene er 30 og 60 grader, er den minste kateten halvparten av hypotenusen.
f) Sett opp en oversikt som viser sammenhengen mellom antall mulige trekanter og lengden av BC.
Løsning
Fra d) og e) har vi at det er ingen trekant dersom BC er mindre enn 4 cm. Fra e) har vi at det er én mulig trekant dersom BC er 4 cm, for da rekker BC akkurat opp til det venstre vinkelbeinet til vinkel A. Vi får to mulige trekanter hvis BC er større enn 4,0 cm, men det gjelder bare til BC blir like lang som AB. Så hvis BC er større enn eller lik AB, er det igjen bare én mulig trekant. Vi oppsummerer:
g) Løs oppgaven f) ved å sette opp cosinussetningen med både AC og BC som ukjent og late som du ikke kjenner løsningene på oppgavene a)–f).
Løsning
Vi tar utgangspunkt i samme cosinussetning som før.
Vi ønsker å løse denne med hensyn på BC. Da må vi bruke kommandoen "Løs(<likning>, <variabel>)" i stedet for bare å trykke direkte på knappen for eksakt løsning av en likning.
Vi får at når rottegnet er null, det vil si at , blir det bare én løsning. Vi får videre at når , blir det negativt under rottegnet, og da er det ingen løsning.
Dersom , har likningen alltid to løsninger. Men vi kan ikke ha negative løsninger, og løsninger som er null, gir ingen trekant. Den andre løsningen i linje 2 er alltid positiv. Den første løsningen blir negativ når AC blir stor nok. Fra den første løsningen setter vi opp en likning som vi løser med GeoGebra.
Vi får derfor to mulige trekanter når AC er mindre enn 8 (og større enn 4). Det er fordi at hvis AC er større enn 8, blir den større enn siden AB. Vi får en trekant da også, men da er ikke vinkel B lik 30 grader lenger. (Hvorfor ikke?) Når AC er akkurat lik 8, gir den første løsningen og dermed ingen trekant.
Totalt gir dette det samme resultatet som vi kom fram til i oppgave f).
I en trekant er lengden på sidene 4, 5 og 5. Bestem uten hjelpemidler cosinusverdien til vinklene i trekanten.
Løsning
Trekanten er likebeint siden to av sidene er like. Da er også to av vinklene like, nemlig de to som begge har den korteste siden som vinkelbein. Vi kaller de to like vinklene v og den tredje vinkelen u. Så bruker vi cosinussetningen til å bestemme cosinus til vinklene.
Den tredje vinkelen u har den korteste siden som motstående side. Vi får
Hvis vi feller ned normalen fra toppunktet i trekanten ned på den korteste siden, deler normalen siden i to like deler som har lengde 2. Da får vi to rettvinklede trekanter der
Alternativt kan vi finne v med cosinussetningen ved å bruke at begge vinklene v har en av de lengste sidene som motstående side. Dette gir