Hopp til innhald
Nynorsk

Fag

Emne

Likningar

Oppgåve
Interaktivt innhald

Likningssett av første og andre grad

Øv på å løyse likningssett der minst éin av dei ukjende er av andre grad.

1.2.60

Løys likningssetta ved rekning for hand, grafisk og med CAS.

a) x+y=4x2-y=16

Løysing

Løysing ved rekning for hand:

x = 4-y                4-y2-y=1616-8y+y2-y-16=0                       y2-9y=0                      yy-9=0                                 y=0          y-9=0                                 y=0          y=9                                 y=0     gir     x=4-0=4                                 y=9     gir     x=4-9=-5Likningssettet har to løysingar.x=4             y=0x=-5          y=9

Grafisk løysing:

Vi skriv inn dei to likningane i algebrafeltet i GeoGebra og bruker verktøyet "Skjering mellom to objekt".

Løysinga er koordinatane til skjeringspunkta, noko som stemmer med det vi fann ved rekning for hand.

Løysing med CAS:

b) x+y2=3x+y=1

Løysing

Vi viser berre løysing ved rekning for hand og grafisk løysing her.

Løysing ved rekning for hand:

x = 1-y1-y+y2=3y2-y-2=0              y=--1±-12-4·1·-22·1             y= 1±92             y= 1+32            y=1-32             y= 2                 y=-1             y=2         gir     x=1-2=-1             y=-1      gir     x=1--1=2Likningssettet har to løysingar.x=-1           y=2x=2              y=-1    

Grafisk løysing:

Vi skriv inn dei to likningane i algebrafeltet i GeoGebra og bruker verktøyet "Skjering mellom to objekt".

c)

x2+y2=4x+y=-2

Løysing

x = -2-y   -2-y2+y2=44+4y+y2+y2=4           2y2+4y=0          2yy+2=0                     2y=0          y+2=0                       y=0          y=-2                        y=0         gir     x=-2-0=-2                        y=-2      gir     x=-2--2=0Likningssettet har to løysingar.x=-2           y=0x=0              y=-2 

d) Vi har likningssettet

x+y2=312x+y=k

For kva verdiar av k har likningssettet

  • to løysingar?

  • éi løysing?

  • inga løysing?

Løys oppgåva både ved å rekne for hand og grafisk med GeoGebra ved å lage ein glidar for k.

Tips til oppgåva

For å svare på spørsmålet bør du prøve å løyse likningssettet ved rekning for hand – sjølv om det er ein ukjend k der. Hugs at vi ser på k som eit tal her.

Løysing ved rekning for hand

Her vil det gi litt enklare rekning ved først å løyse den andre likninga med omsyn på x i staden for y. (Kva er grunnen til det?).

12x+y = k     |·2x+2y = 2kx = 2k-2y

Så set vi dette inn for x i den første likninga.

x+y2 = 32k-2y+y2 = 3y2-2y+2k-3 = 0

Då har vi ei andregradslikning der  a=1, b=-2  og  c=2k-3. Vi bruker abc-formelen.

x = --2±-22-4·1·2k-32·1= 2±4-8k+122= 2±16-8k2

Vi får ikkje rekna ut kvadratrota her. Vi får altså éi løysing for x når vi bruker plussteikn framom rotteiknet i formelen, og ei anna løysing når vi bruker minusteiknet. Oppgåva spør ikkje etter sjølve løysinga på likningssettet, men når det har to, éi eller inga løysing.

Vi ser på uttrykket for løysinga. Det som gir inga løysing, er når det blir negativt under rotteiknet. Først kan vi rekne ut kva som gir 0 under rotteiknet. Det er når

16-8k = 0-8k = -16k = 2

Dersom  k>2, blir det negativt under rotteiknet. Då blir det inga løysing på likningssettet. Dersom  k<0, blir det to løysingar på likningssettet fordi det blir to løysingar for y. Når  k=2, blir det null under rotteiknet, og då blir det éi løysing på likningssettet. Vi kan samanfatte det slik:

  • Likningssettet har to løysingar når  k<2.

  • Likningssettet har éi løysing når  k=2.

  • Likningssettet har inga løysing når  k>2.

Tips til den grafiske løysinga

Vi kan ikkje teikne grafen til den andre likninga når ho inneheld ein ukjend storleik (k) i tillegg til x og y. Derfor lagar vi ein glidar for k for då har k alltid ein verdi (sjølv om han er justerbar med ein glidar).

Grafisk løysing

Vi skriv  k=1  i algebrafeltet i GeoGebra for å lage glidaren. Så skriv vi inn dei to likningane i likningssettet og justerer aksen slik at vi ser begge grafane. Så bruker vi verktøyet "Skjering mellom to objekt" for å finne løysinga på likningssettet, som er skjeringspunkta mellom grafane.

Nedanfor har vi bygd inn eit interaktivt GeoGebra-ark der vi har følgt oppskrifta i det førre avsnittet. Du kan dra i glidaren for k og sjå om du finn det same som vi fann ved rekning for hand.

1.2.61

To kvadrat har ein omkrins på til saman 56 cm. Det samla arealet av kvadrata er 100 cm2.

a) Set opp to likningar, og finn sidene i kvadrata. Løys oppgåva ved rekning for hand, og kontroller svaret med CAS.

Løysing

Vi kallar sidelengdene i dei to kvadrata for høvesvis x og y. Vi set opp to likningar.

4x+4y=56x2+y2=100

Vi startar med å løyse den første likninga med omsyn på y.

4y = 56-4xy = 14-x

Så set vi resultatet inn i i den andre likninga.

x2+y2 = 100x2+14-x2 = 100x2+196-28x+x2 = 1002x2-28x+96 = 0x2-14x+48 = 0

abc-formelen gir

x = 14±142-4·1·482·1= 14±196-1922= 14±22x = 8        x=6

x = 8:  y=14-x=14-8=6x = 6:  y=14-x=14-6=8

Kontroll av svaret med CAS:

Det eine kvadratet har sidelengde 6 cm og det andre 8 cm. Dei to løysingane gir i praksis det same resultatet.

b) Prøv å løyse oppgåva ved rekning for hand utan å starte med å setje opp to likningar med to ukjende.

Løysing

Ideen er å setje opp ei likning for areala av dei to kvadrata, kalle sida i det eine kvadratet for x og bruke informasjonen om omkrinsane til å lage ein formel for sida i det andre kvadratet uttrykt ved x.

Vi startar med informasjonen om omkrinsen. Vi kallar sidelengda i det andre kvadratet for y. Då har vi at

4x+4y=56

Ut frå denne likninga kan vi finne ein formel for den andre sidelengda uttrykt ved x ved å løyse likninga med omsyn på y.

4y = 56-4xy = 14-x

Så bruker vi informasjonen om arealet.

A1+A2 = 100x2+14-x2 = 100x2+196-28x+x2 = 1002x2-28x+96 = 0x2-14x+48 = 0

abc-formelen gir

x = 14±142-4·1·482·1= 14±196-1922= 14±22x = 8        x=6

x = 8:  y=14-x=14-8=6x = 6:  y=14-x=14-6=8

Vi får det same resultatet som i oppgåve a).

c) Samanlikn løysinga i a) med løysinga i b).

Løysing

I b) byrjar vi med éi likning og reknar vidare med ho før vi kjem til den andre likninga. Er det stor skilnad på løysingane? Eigentleg ikkje, vi gjer i praksis akkurat det same.

1.2.62

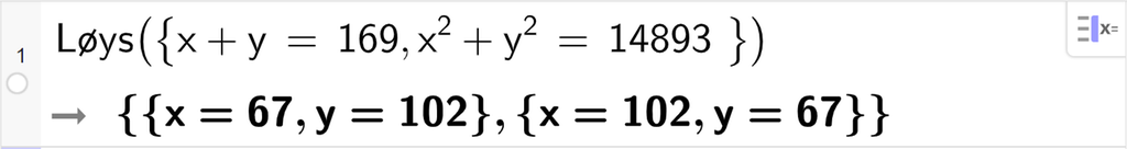
To tal er til saman 169. Kvadrerer du tala og legg dei saman, er summen 14 893. Set opp to likningar, og finn kva to tal dette er.

Løysing

Vi kallar dei to tala høvesvis x og y. Vi set opp to likningar.

x+y=169x2+y2=14 893

Vi løyser likningssettet i GeoGebra, der vi viser korleis vi kan løyse likningssettet ved å skrive kommandoen "Løys" i staden for å skrive inn likningane på kvar si linje:

Det eine talet er 102 og det andre 67.

1.2.63

a) Differansen mellom to tal er 3. Differansen mellom kvadrata til tala er 57. Kva to tal er dette?

Løysing

Vi kallar dei to tala høvesvis x og y. Vi set opp to likningar.

x-y=3x2-y2=57

x = 3+y3+y2-y2=579+6y+y2-y2=57                      6y=57-9                      6y=48                        y=8                        x=3+8=11

Det eine talet er 8 og det andre 11.

b) Kvotienten mellom to tal er 3. Produktet av dei to tala er 27. Kva to tal er dette?

Løysing

Vi kallar dei to tala høvesvis x og y. Vi set opp to likningar.

xy=3xy=27x = 3y3y·y=27y2=9y=3                      y=-3x=3·3=9          x=3·-3=-9

Dei to tala er anten 3 og 9 eller -3 og -9.

Skrive av Olav Kristensen, Stein Aanensen og Bjarne Skurdal.
Sist oppdatert 04.06.2021