Hopp til innhold
Bokmål

Fag

Emne

Likninger

Oppgave
Interaktivt innhold

Likningssett av første og andre grad

Øv på å løse likningssett der minst én av de ukjente er av andre grad.

1.2.60

Løs likningssettene ved regning for hånd, grafisk og med CAS.

a) x+y=4x2-y=16

Løsning

Løsning ved regning for hånd:

x = 4-y                4-y2-y=1616-8y+y2-y-16=0                       y2-9y=0                      yy-9=0                                 y=0          y-9=0                                 y=0          y=9                                 y=0     gir     x=4-0=4                                 y=9     gir     x=4-9=-5Likningssettet har to løsninger.x=4             y=0x=-5          y=9

Grafisk løsning:

Vi skriver inn de to likningene i algebrafeltet i GeoGebra og bruker verktøyet "Skjæring mellom to objekt".

Løsningen er koordinatene til skjæringspunktene, noe som stemmer med det vi fant ved regning for hånd.

Løsning med CAS:

b) x+y2=3x+y=1

Løsning

Vi viser bare løsning ved regning for hånd og grafisk løsning her.

Løsning ved regning for hånd:

x = 1-y1-y+y2=3y2-y-2=0              y=--1±-12-4·1·-22·1             y= 1±92             y= 1+32            y=1-32             y= 2                 y=-1             y=2         gir     x=1-2=-1             y=-1      gir     x=1--1=2Likningssettet har to løsninger.x=-1           y=2x=2              y=-1    

Grafisk løsning:

Vi skriver inn de to likningene i algebrafeltet i GeoGebra og bruker verktøyet "Skjæring mellom to objekt".

c)

x2+y2=4x+y=-2

Løsning

x = -2-y   -2-y2+y2=44+4y+y2+y2=4           2y2+4y=0          2yy+2=0                     2y=0          y+2=0                       y=0          y=-2                        y=0         gir     x=-2-0=-2                        y=-2      gir     x=-2--2=0Likningssettet har to løsninger.x=-2           y=0x=0              y=-2 

d) Vi har likningssettet

x+y2=312x+y=k

For hvilke verdier av k har likningssettet

  • to løsninger?

  • én løsning?

  • ingen løsning?

Løs oppgaven både ved å regne for hånd og grafisk med GeoGebra ved å lage en glider for k.

Tips til oppgaven

For å svare på spørsmålet bør du prøve å løse likningssettet ved regning for hånd – selv om det er en ukjent k der. Husk at vi ser på k som et tall her.

Løsning ved regning for hånd

Her vil det gi litt enklere regning ved først å løse den andre likningen med hensyn på x i stedet for y. (Hva er grunnen til det?).

12x+y = k     |·2x+2y = 2kx = 2k-2y

Så setter vi dette inn for x i den første likningen.

x+y2 = 32k-2y+y2 = 3y2-2y+2k-3 = 0

Da har vi en andregradslikning der  a=1, b=-2  og  c=2k-3. Vi bruker abc-formelen.

x = --2±-22-4·1·2k-32·1= 2±4-8k+122= 2±16-8k2

Vi får ikke regnet ut kvadratrota her. Vi får altså én løsning for x når vi bruker plusstegn foran rottegnet i formelen, og en annen løsning når vi bruker minustegnet. Oppgaven spør ikke etter selve løsningen på likningssettet, men når det har to, én eller ingen løsning.

Vi ser på uttrykket for løsningen. Det som gir ingen løsning, er når det blir negativt under rottegnet. Først kan vi regne ut hva som gir 0 under rottegnet. Det er når

16-8k = 0-8k = -16k = 2

Hvis  k>2, blir det negativt under rottegnet. Da blir det ingen løsning på likningssettet. Hvis  k<0, blir det to løsninger på likningssettet fordi det blir to løsninger for y. Når  k=2, blir det null under rottegnet, og da blir det én løsning på likningssettet. Oppsummert kan vi si det slik:

  • Likningssettet har to løsninger når  k<2.

  • Likningssettet har én løsning når  k=2.

  • Likningssettet har ingen løsning når  k>2.

Tips til den grafiske løsningen

Vi kan ikke tegne grafen til den andre likningen når den inneholder en ukjent størrelse (k) i tillegg til x og y. Derfor lager vi en glider for k for da har k alltid en verdi (selv om den er justerbar med en glider).

Grafisk løsning

Vi skriver  k=1  i algebrafeltet i GeoGebra for å lage glideren. Så skriver vi inn de to likningene i likningssettet og justerer aksene slik at vi ser begge grafene. Så bruker vi verktøyet "Skjæring mellom to objekt" for å finne løsningen på likningssettet, som er skjæringspunktene mellom grafene.

Nedenfor har vi bygd inn et interaktivt GeoGebra-ark der vi har fulgt oppskriften i det forrige avsnittet. Du kan dra i glideren for k og se om du finner det samme som vi fant ved regning for hånd.

1.2.61

To kvadrater har en omkrets på til sammen 56 cm. Samlet areal av kvadratene er 100 cm2.

a) Sett opp to likninger, og finn sidene i kvadratene. Løs oppgaven ved regning for hånd, og kontroller svaret med CAS.

Løsning

Vi kaller sidelengdene i de to kvadratene for henholdsvis x og y. Vi setter opp to likninger.

4x+4y=56x2+y2=100

Vi starter med å løse den første likningen med hensyn på y.

4y = 56-4xy = 14-x

Så setter vi resultatet inn i i den andre likningen.

x2+y2 = 100x2+14-x2 = 100x2+196-28x+x2 = 1002x2-28x+96 = 0x2-14x+48 = 0

abc-formelen gir

x = 14±142-4·1·482·1= 14±196-1922= 14±22x = 8        x=6

x = 8:  y=14-x=14-8=6x = 6:  y=14-x=14-6=8

Kontroll av svaret med CAS:

Det ene kvadratet har sidelengde 6 cm og det andre 8 cm. De to løsningene gir i praksis det samme resultatet.

b) Prøv å løse oppgaven ved regning for hånd uten å starte med å sette opp to likninger med to ukjente.

Løsning

Ideen er å sette opp en likning for arealene av de to kvadratene, kalle sida i det ene kvadratet for x og bruke informasjonen om omkretsene til å lage en formel for sida i det andre kvadratet uttrykt ved x.

Vi starter med informasjonen om omkretsen. Vi kaller sidelengden i det andre kvadratet for y. Da har vi at

4x+4y=56

Ut fra denne likningen kan vi finne en formel for den andre sidelengden uttrykt ved x ved å løse likningen med hensyn på y.

4y = 56-4xy = 14-x

Så bruker vi informasjonen om arealet.

A1+A2 = 100x2+14-x2 = 100x2+196-28x+x2 = 1002x2-28x+96 = 0x2-14x+48 = 0

abc-formelen gir

x = 14±142-4·1·482·1= 14±196-1922= 14±22x = 8        x=6

x = 8:  y=14-x=14-8=6x = 6:  y=14-x=14-6=8

Vi får det samme resultatet som i oppgave a).

c) Sammenlikn løsningen i a) med løsningen i b).

Løsning

I b) begynner vi med én likning og regner videre med den før vi kommer til den andre likningen. Er det stor forskjell på løsningene? Egentlig ikke, vi gjør i praksis akkurat det samme.

1.2.62

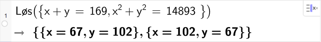
To tall er til sammen 169. Kvadrerer du tallene og legger dem sammen, er summen 14 893. Sett opp to likninger, og finn hvilke to tall dette er.

Løsning

Vi kaller de to tallene henholdsvis x og y. Vi setter opp to likninger.

x+y=169x2+y2=14 893

Vi løser likningssettet i GeoGebra, der vi viser hvordan vi kan løse likningssettet ved å skrive kommandoen "Løs" i stedet for å skrive inn likningene på hver sin linje:

Det ene tallet er 102 og det andre 67.

1.2.63

a) Differansen mellom to tall er 3. Differansen mellom kvadratene til tallene er 57. Hvilke to tall er dette?

Løsning

Vi kaller de to tallene henholdsvis x og y. Vi setter opp to likninger.

x-y=3x2-y2=57

x = 3+y3+y2-y2=579+6y+y2-y2=57                      6y=57-9                      6y=48                        y=8                        x=3+8=11

Det ene tallet er 8 og det andre 11.

b) Kvotienten mellom to tall er 3. Produktet av de to tallene er 27. Hvilke to tall er dette?

Løsning

Vi kaller de to tallene henholdsvis x og y. Vi setter opp to likninger.

xy=3xy=27x = 3y3y·y=27y2=9y=3                      y=-3x=3·3=9          x=3·-3=-9

De to tallene er enten 3 og 9 eller -3 og -9.

Skrevet av Olav Kristensen, Stein Aanensen og Bjarne Skurdal.
Sist oppdatert 04.06.2021