Hopp til innhald
Nynorsk
Oppgåve

Blanda oppgåver om funksjonsanalyse

Tren på å analysere ulike funksjonar her.

3.1.80

Figuren viser grafen til ein funksjon f. Teikn forteiknslinjene til f, f' og f'' inn i koordinatsystemet nedanfor grafen.

Nedanfor kan du laste ned og skrive ut eit ark med grafen over der det er plass til å teikne forteiknslinjene nedanfor grafen.

Løysing

Grafen har nullpunkt for  x=-2,8,  x=0  og for  x=2,8. Grafen ligg først over x-aksen, så ligg han under og kryssar ikkje x-aksen ved det andre nullpunktet, ikkje før det tredje nullpunktet.

Dei stasjonære punkta finn vi for  x=-2 (botnpunkt), x=0 (toppunkt) og for  x=2 (botnpunkt). Grafen er først søkkande, så stigande, så søkkande og til slutt stigande.

Grafen har vendepunkt omtrent når  x=-1,2  og  x=1,2. Grafen vender først den hole sida opp, så den hole sida ned, og til slutt vender han den hole sida opp igjen.

Grafen med forteiknslinjene kan teiknast slik som vi har gjort nedanfor.

3.1.81

Løys oppgåva utan hjelpemiddel eller med CAS – gjerne begge delar for treninga si skuld. Vi viser korleis oppgåva blir løyst med CAS heilt til slutt i oppgåva.

Funksjonen f er gitt ved  fx=x36-x22 ,     Df=-3, 5.

a) Finn nullpunkta til f.

Løysing

Nullpunkta er

fx = 0x36-x22 = 0x22x3-1 = 0x22 = 0    x3-1=0x = 0    x3=1x = 0    x=3

b) Finn monotonieigenskapane til f. Finn òg eventuelle stasjonære punkt, og avgjer kva slags type punkt det er.

Løysing

Vi deriverer og finn kvar grafen til f avtek og veks.

f'x=3x26-2x2=x22-x=12xx-2

f'x = 012xx-2 = 012x = 0    x-2=0x = 0    x=2

Begge desse løysingane er innanfor definisjonsmengda til funksjonen. Grafen til f har altså to stasjonære punkt. Det er berre i desse punkta at uttrykket for den deriverte kan skifte forteikn. Vi vel derfor tilfeldige tal i kvart av dei aktuelle intervalla og ser om uttrykket er positivt eller negativt. (Vi kunne òg brukt dobbeltderiverttesten for å finne ut kva slags type stasjonære punkt det er snakk om.)

f'-1=12·-1·-1-2=-12·-3=32>0f'1=12·1·1-2=12·-1=-12<0f'3=12·3·3-2=32·1=32>0

Vi kan då setje opp forteiknslinja til den deriverte.

Grafen til f stig for  x-3, 02, 5 og søkk når  x0, 2.

c) Finn eventuelle stasjonære punkt, og avgjer i tilfelle kva slags type stasjonære punkt dei er.

Løysing

Vi får av forteiknslinja i oppgåve b) at grafen til f har eit toppunkt for  x=0  og eit botnpunkt for  x=2.

Toppunktet har koordinatane 2, f2=0, 0.

Botnpunktet har koordinatane
2, f2=2, 86-42=2, -23.

d) Finn eventuelle globale ekstremalverdiar på grafen til f.

Løysing

Dei stasjonære punkta kan ha globale ekstremalverdiar. Sidan intervallet til definisjonsmengda er ope, kan det ikkje vere globale ekstremalverdiar i endene av intervallet. Vi må sjekke kva grenseverdien for funksjonen er når x går mot intervallgrensene.

limx-3fx = limx-3x36-x22= -336--322= -92-92= -182= -9

Dette er mindre enn y-koordinaten til botnpunktet. Grafen til f har derfor ikkje noko globalt minimum.

Så sjekkar vi

limx5fx = limx5x36-x22= 536-522= 1256-252 21-12,5= 8,5

Dette er større enn y-koordinaten til toppunktet. Grafen til f har derfor ikkje noko globalt maksimum.

e) Analyser krumningsforholda til grafen til f.

Løysing

f'x = x22-xf''x = 12·2x-1=x-1

f''x = 0x-1 = 0x = 1

f''x > 0x-1 > 0x > 1

Med dette veit vi for kva x-verdiar den dobbeltderiverte er lik null, større enn null eller mindre enn null. Vi treng derfor eigentleg ikkje å teikne forteiknslinja for f''. Forteiknslinja ser i alle fall slik ut:

Vi får uansett at grafen vender den hole sida ned når  -3<x<1  og den hole sida opp når  1<x<5.

f) Finn eventuelle vendepunkt.

Løysing

Av diskusjonen i førre oppgåve får vi at grafen har eit vendepunkt for  x=1. Vendepunktet er

1, f1 = 1, 136-122= 1, 16-36= 1, -13

g) Finn likningane til eventuelle vendetangentar.

Løysing

Vendetangenten i punktet 1, -13 er

y-fx1 = f'x1x-x1y+13 = 122-1x-1= -12x-1y = -12x+12-13= -12x+16

h) Bruk informasjonen til å teikne ei skisse av grafen til f og eventuelle vendetangentar på papiret.

Løysing

Vi veit no kvar grafen stig og søkk, og kvar grafen krummar oppover og nedover. Vi kjenner òg dei stasjonære punkta og vendepunktet, og vi veit kvar grafen skal ende opp ved endepunkta i intervallet som utgjer definisjonsmengda.

Grafen og vendetangenten skal sjå ut omtrent som på biletet nedanfor.

Løysing av oppgåve 3.1.81 med CAS

Legg merke til at vi ikkje legg inn avgrensingane i definisjonsmengda til funksjonen f, sidan GeoGebra har ein tendens til å ikkje finne alle løysingar til funksjonar som er avgrensa.

3.1.82

Løys oppgåva utan hjelpemiddel eller med CAS – gjerne begge delar for treninga si skuld. Vi viser korleis oppgåva blir løyst med CAS heilt til slutt i oppgåva.

Funksjonen f er gitt ved fx=-2x-3x+2.

a) Finn eventuelle nullpunkt til funksjonen.

Løysing

fx = 0-2x-3x+2 = 0-2x-3 = 0-2x = 3x = -32

Løysinga gir ikkje null i nemnaren, så nullpunktet til f er x=-32.

b) Finn asymptotane til funksjonen.

Løysing

Vertikal asymptote:

x+2 = 0x = -2

Teljar og nemnar er av same grad. Då gjer vi følgjande:

limx±fx = limx±-2x-3x+2=limx±-2xx-3xxx+2x= limx±-2-3x1+2x=-21=-2

Horisontal asymptote er y=-2.

c) Analyser monotonieigenskapane til funksjonen, og finn eventuelle stasjonære punkt.

Løysing

f'x=-2x+2-1-2x-3x+22=-2x-4+2x+3x+22=-1x+22

Teljaren er alltid negativ, og nemnaren er alltid positiv. Det betyr at  f'x<0  for alle x-verdiar der funksjonen er definert. Det betyr at

  • grafen til f er søkkande overalt

  • grafen til f har ingen stasjonære punkt

d) Analyser krumningsforholda til grafen til f, og finn eventuelle vendepunkt.

Løysing

f''x=0--12x+2x+24=2x+23

Teljaren er alltid positiv. Nemnaren er positiv når  x+2  er positiv, det vil seie når
 x+2 > 0x > -2
Den dobbeltderiverte er derfor òg positiv når  x>-2. Det betyr at

  • grafen til f ikkje har nokon vendepunkt, sidan den dobbeltderiverte ikkje har nokon nullpunkt

  • grafen til f vender den hole sida ned når  x<-2

  • grafen til f vender den hole sida opp når  x>-2

e) Bruk informasjonen du har kome fram til, til å teikne ei skisse av grafen til f på papiret.

Løysing
Løysing av oppgåva med CAS

Legg merke til at sjølv om verken f' eller f'' har nokon nullpunkt, må vi sjekke forteiknet på begge sider av brotpunktet  x=-2. Det har vi gjort i linje 5 og linje 7. Vi ser at forteiknet til den dobbeltderiverte skifter ved brotpunktet. Det gjer ikkje forteiknet til den deriverte. Alternativt kunne vi løyst ulikskapane  f'x>0  og  f''x>0.

3.1.83

a) Bruk CAS og finn ut mest mogleg om funksjonen

fx=lg-x2+4

Bruk mellom anna derivasjon.

Løysing

Merk at funksjonen f er skrive inn som f(x):=lg(x^2+4), men GeoGebra skriv om funksjonen til den naturlege logaritmen.

Først sjekkar vi avgrensingar i definisjonsmengda. Frå linje 2 får vi at definisjonsmengda til f er Df=-2, 2sidan det berre går an å ta logaritmen til noko som er positivt.

Funksjonen har nullpunkta  x=-3,  x=3 (linje 4). Frå linje 4, 5 og 6 får vi at grafen til f har eit stasjonært punkt for  x=0, eit toppunkt med koordinatane 0, 0.6. Merk i linje 5 at GeoGebra tek med løysingar for den deriverte der funksjonen f, og dermed den deriverte, ikkje er definert. Grafen til f er stigande for  -2<x<0  og søkkande for  0<x<2. Det betyr òg at den globale maksimalverdien til funksjonen er i toppunktet. Funksjonen har ingen global minimalverdi.

Frå linje 7 og 8 får vi at grafen ikkje har nokon vendepunkt og vender den hole sida ned heile definisjonsmengda.

Vi sjekkar i linje 9 kva som skjer når x nærmar seg 2. Då forsvinn grafen nedover. Det same må skje når x nærmar seg -2 òg. Det betyr at verdimengda til f er  Vf=, 0.6].

b) Bruk informasjonen du fann i a) til å teikne ei skisse av grafen til f på papiret.

Løysing

3.1.84

a) Bruk CAS eller rekning utan hjelpemiddel til å finne ut mest mogleg om funksjonen

fx=x3-6x2+12 ,    Df=, 5]

Bruk mellom anna derivasjon til å løyse oppgåva.

Løysing

Innleiingsvis kan vi slå fast at funksjonen vil gå mot minus uendeleg når  x-, sidan talet føre tredjegradsleddet er positivt.

I linje 2 finn vi at nullpunkta til funksjonen er  x=-1,28  og  x=1,66. (Den siste løysinga er utanfor definisjonsmengda til f.)

I linje 3, 4 og 5 finn vi at grafen til f har to stasjonære punkt, toppunktet 0, 12 og botnpunktet 4, -20. Vi brukte dobbeltderiverttesten i linje 5 til å avgjere kva slags type stasjonære punkt det dreier seg om. Samtidig får vi at grafen til f stig når  x<0  og når  4<x5. Grafen søkk når  0<x<4.

Sidan funksjonsverdien  f5=-13  i endepunktet, vil grafen ha global maksimalverdi 12 i toppunktet. Verdimengda til funksjonen blir  Vf=, 12].

Linje 5, 6 og 7 gir at grafen har vendepunktet 2, -4. Samtidig får vi at grafen vender den hole sida ned når  x<2  og den hole sida opp når  2<x5.

I linje 8 får vi at vendetangenten har likninga  y=-12x+20.

b) Bruk informasjonen du fann i a) til å teikne ei skisse av grafen til f på papiret.

Løysing

3.1.85

a) Bruk CAS til å finne ut mest mogleg om funksjonen

fx=-3x2+12x-1

inkludert eventuelle asymptotar. Bruk mellom anna derivasjon til å løyse oppgåva.

Løysing

I linje 2 finn vi at asymptotane til funksjonen er

y=-1,5x-0,75 ,     x=0,5

Den eine asymptoten er ein såkalla skråasymptote. Vi får samtidig at funksjonen ikkje er definert for  x=0,5.

I linje 3 finn vi dei to nullpunkta til funksjonen.

Linje 5 gir oss at funksjonen ikkje har nokon stasjonære punkt, og linje 6 gir oss at grafen til f er søkkande i heile definisjonsområdet.

Linje 7 gir oss at funksjonen ikkje har nokon vendepunkt. Linje 8 gir oss at grafen vender den hole sida ned når  x<0,5  og den hole sida opp når  x>0,5.

b) Bruk informasjonen du fann i a) til å teikne ei skisse av grafen til f, inkludert asymptotane, på papiret.

Løysing

3.1.86

a) Bruk CAS til å finne ut mest mogleg om funksjonen

fx=lg-x+2x+3

Bruk mellom anna derivasjon til å løyse oppgåva.

Løysing

Frå linje 2 får vi at definisjonsmengda til funksjonen f er  Df=-3, 2. I linje 3 og 4 sjekkar vi kva som skjer når x nærmar seg endepunkta. (Vi bruker kommandoane "GrenseOver" og "GrenseUnder" i staden for "GrenseVerdi" sidan funksjonen berre er definert på den eine sida.)

Linje 5 gir at nullpunktet til f er  x=-12.

Linje 6 gir at grafen til f ikkje har nokon stasjonære punkt. Løysinga i linje 7 ligg utanfor definisjonsområdet, så grafen til f er søkkande i heile definisjonsområdet.

Linje 8 og 9 gir at grafen har vendepunktet -12, 0. Grafen vender den hole sida opp når  -3<x<-12  og den hole sida ned når  -12<x<2.

Resultata gir at verdimengda til f er  Vf=.

b) Bruk informasjonen du fann i a) til å teikne ei skisse av grafen til f på papiret.

Løysing

3.1.87

Finn ut mest mogleg om funksjonen

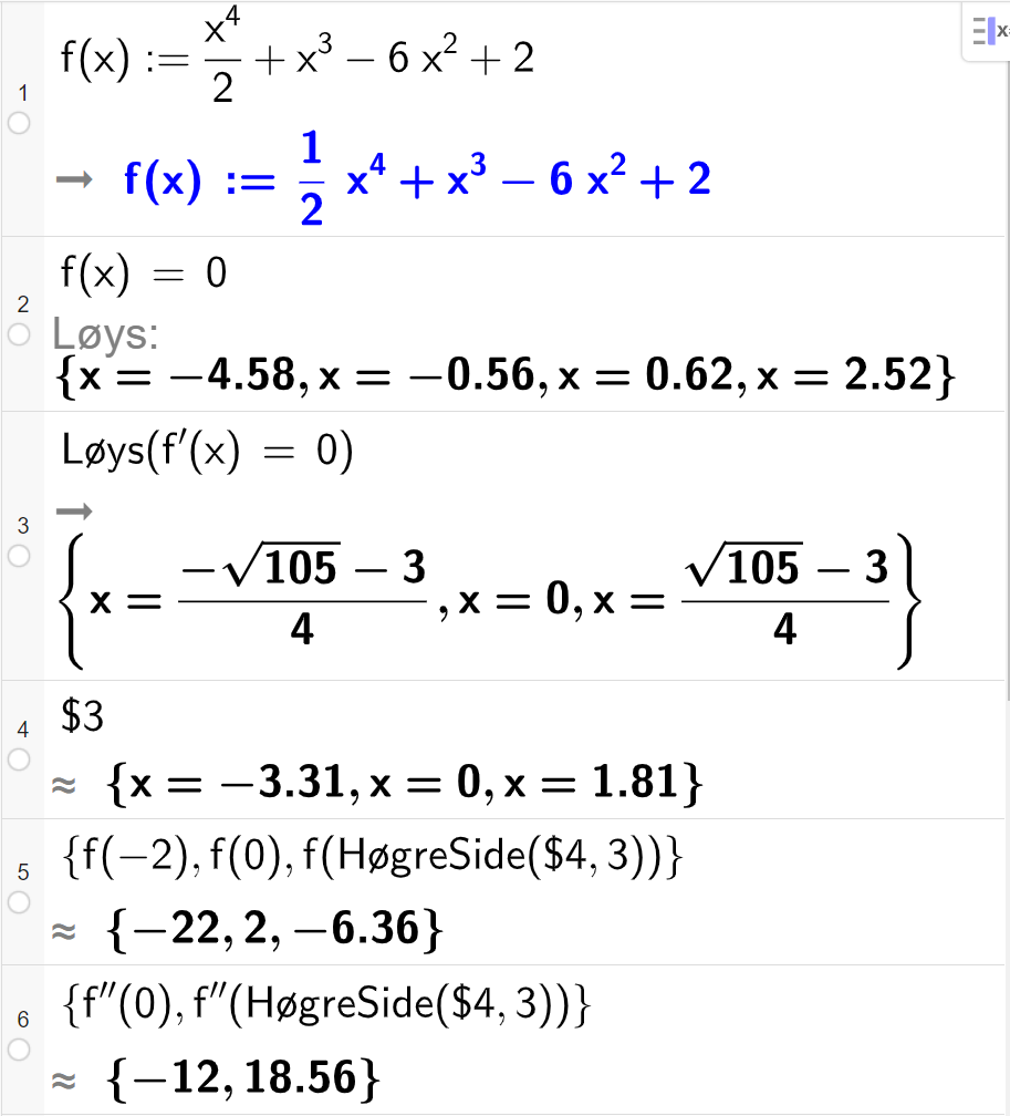
fx=x44+x3-6x2+2 ,      Df=[-2, 

Bruk mellom anna derivasjon til å løyse oppgåva.

Løysing

Her står det ikkje kva framgangsmåte vi skal bruke, bortsett frå at vi skal bruke derivasjon, i tillegg til andre teknikkar. Vi vel CAS.

I linje 2 finn vi at nullpunkta til funksjonen er  x=-0,56,  x=0,62  og  x=2,52. (Den første løysinga er utanfor definisjonsmengda til f.)

I linje 3, 4, 5 og 6 finn vi at grafen til f har to stasjonære punkt, toppunktet 0, 2 og botnpunktet 1.81, -6.36. Vi brukte dobbeltderiverttesten i linje 6 til å avgjere kva slags type stasjonære punkt det dreier seg om. Samtidig får vi at grafen til f stig når  -2<x<0  og når  x>1,81. Grafen søkk når  0<x<1,81.

Sidan funksjonsverdien  f-2=-22  i endepunktet i definisjonsmengda, vil grafen ha global minimalverdi -22 her. Dette, saman med at ein fjerdegradsfunksjon med positivt tal føre fjerdegradsleddet veks over alle grenser når x blir stor, gir at verdimengda til funksjonen blir  Vf=[-22, .

Linje 7, 8 og 9 gir at grafen har vendepunktet 1, -2.5. Merk at ein graf ikkje kan ha eit vendepunkt i nokon av endepunkta i definisjonsmengda til funksjonen. Samtidig får vi at grafen vender den hole sida ned når  -2<x<1  og den hole sida opp når  x>1.

I linje 10 får vi at vendetangenten har likninga  y=-7x+92.

3.1.88

a) Finn ut mest mogleg om funksjonen f gitt ved

fx=a·x·e-kx ,          Df=[0, 

der a og k er tal som ikkje er negative.

Løysing

Vi gjer omtrent som i dei førre oppgåvene på denne sida.

Linje 2 gir at funksjonen har eitt nullpunkt, som er  x=0. Linje 3, 4 og 5 gir at grafen til funksjonen har eit toppunkt med koordinatane 1k, ake, under føresetnad av at  k>0. Vi får samtidig at grafen til f stig når  0<x<1k  og søkk når  x>1k. Grafen har derfor global maksimalverdi ake.

Frå linje 6, 7 og 8 får vi at grafen har vendepunktet 2k, 2ake2, sidan vi frå linjene 4 og 7 får at den dobbeltderiverte skifter forteikn der den dobbeltderiverte er null. Grafen til f vil vende den hole sida ned når  0<x<2k  og den hole sida opp når  x>2k.

Linje 9 gir at vendetangenten er  y=-ae2x+4ake2.

b) Gjer det same ved å rekne utan hjelpemiddel.

c) Lag eit geogebraark der du lagar glidarar for konstantane a og k og skriv inn funksjonen f ved hjelp av desse. Observer korleis grafen endrar seg når du varierer konstantane.

Skrive av Bjarne Skurdal, Olav Kristensen og Stein Aanensen.
Sist oppdatert 15.08.2023