Øv på å lage matematiske modeller selv og analysere modellene du kommer fram til. Nederst på siden kan du laste ned oppgavene som Word- og pdf-dokumenter.
a) Vi skal lage ei eske uten lokk av ei rektangelformet papplate med sider 50 cm og 40 cm. Vi gjør dette ved å klippe ut et kvadrat i hvert hjørne. Deretter bretter vi opp kantene og får ei eske med høyde lik sidekanten av kvadratet vi klippet bort. Se figuren nedenfor.
Mal for å lage eske uten lokk av ei papplate
Vi ønsker at volumet av eska skal bli så stort som mulig. Hvor stor er sidekanten i de kvadratene vi klipper bort da?
Tips til oppgaven
Jo større kvadrater vi klipper bort, jo høyere blir eska, men desto mindre blir eskebunnen. Kall sidekanten i kvadratene for , og lag en funksjon for volumet av eska.
Merk: Hvilke verdier kan ha?
Løsning
Når vi klipper bort kvadrater med sidekant lik , vil målene på eskebunnen være kortere enn yttermålene på papplata. Målene på eskebunnen blir derfor som på figuren nedenfor.
Vi finner volumet ved å multiplisere arealet av eskebunnen med høyden av eska, som er . Vi løser oppgaven med CAS.
CAS-løsning for å finne den optimale eskestørrelsen
Merk at vi ikke kan bruke løsningen i linje 3 fordi vi ikke kan klippe bort så mye. Vi bruker dobbeltderiverttesten i linje 4 og ser at grafen til vender den hule sida ned når . Dermed vet vi at grafen har et toppunkt her.
Eska får altså størst volum når vi klipper bort kvadrater med sidekant 7,36 cm, og da er volumet av eska 6 564 cm3 eller 6,6 dm3.
b) Gjenta oppgave a), men nå med utgangspunkt i ei papplate med sider 60 cm og 30 cm (som har den samme omkretsen som papplata i a)). Hva slags form tror du papplata må ha for at volumet av eska skal bli størst mulig når omkretsen av papplata du starter med, skal være fast?
Delvis fasit
Eska får størst volum når vi klipper bort kvadrater med sidekant 6,34 cm, og da er volumet av eska 5 196 cm3 eller 5,2 dm3.
Dette volumet er mindre enn volumet på eska i oppgave a). Det kan se ut som at det største mulige volumet øker jo mer like sidene i papplata er.
c) Gjennomfør utregningene på nytt med ei papplate med like store sidekanter (og den samme omkretsen som før).
Fasit og kommentar
Papplata blir nå et kvadrat med sidekanter med lengde 45 cm.
Ved å gjøre de samme beregningene i CAS som før får vi at volumet av eska er størst om det klippes bort kvadrater med sidekant 7,5 cm. Da blir volumet 6 750 cm3 eller 6,75 dm3.
Merk at vi har ikke bevist at det er papplata i oppgave c) som gir størst eskevolum når omkretsen på papplata holdes konstant.
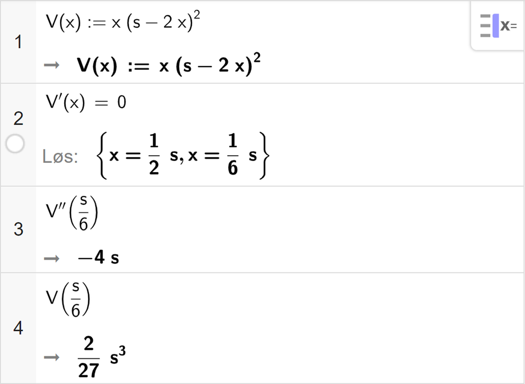
d) Gjenta oppgave a), men nå med utgangspunkt i ei kvadratisk papplate med sidekant (og ukjent omkrets).
Løsning
Merk at vi ikke kan bruke løsningen i linje 2. (Hva er for øvrig grunnen til det?) Siden vi har at , får vi bekreftet i linje 3 at grafen til vil ha et toppunkt for .
Volumet av eska blir størst dersom vi klipper bort kvadrater som er en sjettedel av hele sida på papplata, og da blir volumet .
Kontroller at disse resultatene stemmer med utregningene i oppgave c).
Merk også at dette heller ikke er bevis alene på at det blir størst volum på eska dersom papplata med en gitt omkrets er kvadratisk.
e) Utfordring
Vi skal nå prøve å finne ut om det faktisk blir størst volum på eska når papplata med en gitt omkrets er kvadratisk.
Ta utgangspunkt i ei rektangulær papplate med en omkrets . Kall lengden av papplata , og finn et uttrykk for bredden som funksjon av og . Vi skal som før klippe bort 4 små kvadrater med sidekant for å lage eska.
Finn et uttrykk for volumet av eska, og bruk derivasjon til å vise at volumet blir størst når papplata med omkrets er kvadratisk.
Løsning
I linje 1 skriver vi opp formelen for omkretsen til et rektangel der lengden er , og bredden har vi kalt . Denne formelen blir løst med hensyn på slik at vi får et uttrykk for bredden, slik oppgaven krever. I linje 2 skriver vi inn volumfunksjonen omtrent som tidligere i oppgaven.
Vi er nå interessert i å se hvordan volumet endrer seg når vi endrer på . For å finne den største verdien for volumet når vi endrer på , må vi derivere med hensyn på . Da bruker vi kommandoen "Derivert()", som gjør at vi kan bestemme at vi skal derivere med hensyn på i stedet for . Vi setter den deriverte lik 0 og løser likningen med hensyn på . Svaret sier at volumfunksjonen har et ekstremalpunkt for , som er når papplata er kvadratisk. Vi må sjekke at løsningen i linje 3 er et toppunkt. Til det bruker vi dobbeltderiverttesten. I linje 4 finner vi uttrykket for den dobbeltderiverte, som ikke varierer med og alltid er negativt. Da er løsningen i linje 3 et toppunkt, og vi har vist at ut ifra ei rektangulær papplate med en gitt omkrets blir eskevolumet størst når papplata er kvadratisk.
f) Utfordring
Finn et uttrykk for det største volumet eska kan ha når omkretsen til papplata er .
Løsning
I linje 5 lager vi en ny funksjon ut ifra resultatet i den forrige deloppgaven. Vi finner ekstremalpunktene til denne i linje 2, og vi ser at løsningen ikke kan brukes, for da klippes hele papplata bort. I linje 7 viser vi med dobbeltderiverttesten at den første løsningen i linje 2 gir et toppunkt. I linje 8 får vi at det maksimale volumet eska kan få med en gitt omkrets , er
Tabellen viser observert vannstand på Tregde 1. februar 2008. Observert vannstand er i cm over middelvann (middel vannstand). I tabellen er timer etter midnatt, og er høyden målt i cm over middelvann.
Vannstand
, timer etter midnatt
, vannstand i cm
0
2
4
6
8
10
12
a) Bruk et digitalt hjelpemiddel, og finn det tredjegradsuttrykket som passer best med verdiene i tabellen.
Løsning
Vi legger punktene inn i regnearkdelen i GeoGebra og velger "Regresjonsanalyse" og polynom av grad 3 som regresjonsmodell.
Vi finner at funksjonen kan beskrives med uttrykket
Vi ser at grafen treffer godt med de observerte verdiene. Merk at vannstanden var spesielt lav denne dagen siden det ikke ble målt verdier over middelvann.
b) Bruk blant annet derivasjon til å gi en beskrivelse av vannstanden denne dagen.
Løsning
Vi må finne ut når vannstanden var høyest og lavest, og når vannstanden steg og sank raskest. Vi kopierer resultatet fra regresjonsanalysevinduet over til grafikkfeltet. Da slipper vi å skrive inn funksjonen på nytt i CAS-vinduet.
Vi får av linje 1, 2, 3 og 6 at vannstanden var lavest cirka klokka kvart over 2 på natta. Da var vannstanden 13,3 cm under middelvann. Vannstanden var høyest rett før klokka halv 10 på formiddagen, og da var den 1,1 cm under middelvann. Fra linje 3, 4, 5 og 7 har vi at grafen til har et vendepunkt for , og vi får at vannstanden steg raskest rett før klokka 6 på morgenen. Da steg den med 2,6 cm per time. Hvis vi holder oss til de 12 første timene av døgnet, sank vannstanden mest klokka 12, med 5,0 cm per time. Dersom vi går utenfor de 12 timene, vet vi at tredjegradsfunksjonen blir brattere og brattere, og det er derfor ikke realistisk å gå noe særlig utenfor dette tidsrommet.
Kommentar: Merk at siden vi har regnet ut to verdier for den dobbeltderiverte i linje 3 på hver sin side av nullpunktet til den dobbeltderiverte, har vi det vi trenger for å avgjøre om nullpunktet er -koordinaten til et vendepunkt.
Vi ser at grafen er lavere enn bunnpunktet dersom vi ser på tidsrommet etter klokka 13, men vi vet egentlig ikke hvor lavt det går eller hvor langt ut i tid modellen gjelder. Vi kan i alle fall si at mellom midnatt og klokka 12 var den laveste vannstanden minus 13,4 cm under middels vannstand, og det var klokka 02.15 på natta.
c) En større båt skal legge til kai i nærheten av Tregde. Båten kan ikke komme inn til kaia dersom vannstanden er lavere enn 10 cm under middel vannstand. I hvilket tidsrom kan båten gå inn til kaia?
Løsning
Vi må se hvor grafen har verdier over . Vi kan se av grafen at fra litt før klokka 05.00 til litt etter klokka 12.00 kan båten gå til kai ved Tregde. Det er også noen minutter rett etter midnatt det vil være teoretisk mulig å legge til, men kanskje ikke i praksis.
d) Vurder gyldigheten til modellen lengre fram i tid.
Løsning
Vi sjekker hvilken verdi vi får 24 timer etter midnatt.
1 døgn (24 timer) etter midnatt viser modellen et avvik på -360 cm fra middel vannstand. Det er urealistisk, så modellen er ikke gyldig fram i tid.
Til slutt skal du løse oppgave a), b) og c) med Python og tegne grafen inkludert ekstremalpunktene, vendepunktet og punktene som markerer grensene for når den store båten kan gå inn til kaia. Vi tar det skrittvis:
e) Skriv koden til en egendefinert funksjon h som skal brukes til regresjonen med "curve_fit" på tilsvarende måte som den egendefinerte funksjonen modell på siden Eksponentialfunksjonen som modell. Regresjon.
Tips til oppgaven
Vi ønsker å finne den tredjegradsfunksjonen som passer best til målingene. Hvordan ser den generelle tredjegradsfunksjonen ut?
Løsning
Den generelle tredjegradsfunksjonen kan skrives som
Den egendefinerte funksjonen må inneholde de fire ubestemte konstantene i tillegg til . Funksjonen kan se slik ut:
def h(x,a,b,c,d): return a*x**3 + b*x**2 + c*x + d
f) Lag egendefinerte funksjoner dh og ddh som beregner verdier for den deriverte og den dobbeltderiverte funksjonen.
Tips til oppgaven
Bruk disse tilnærmingene for å gjøre beregninger av den deriverte og den dobbeltderiverte:
I tilnærmingene kan du sette .
Løsning
Forslag til kode:
python
1# tilnærming til den deriverte2defdh(x,a,b,c,d):3return(h(x+0.0001,a,b,c,d)- h(x,a,b,c,d))/0.000145# tilnærming til den dobbeltderiverte6defddh(x,a,b,c,d):7return(dh(x+0.0001,a,b,c,d)- dh(x,a,b,c,d))/0.0001
Legg merke til at vi i tillegg til x må ha med de fire konstantene a, b, c og d som parametre i funksjonene siden vi ikke vet hva de er før selve regresjonen er utført.
g) Skriv ferdig koden som løser oppgave a), b) og c) med Python. Husk å få med kode som tegner grafen inkludert ekstremalpunktene og vendepunktet.
1# importerer nødvendige bibliotek2from scipy.optimize import curve_fit
3import numpy as np
4import matplotlib.pyplot as plt
56# lager funksjonen som beskriver modellen7defh(x,a,b,c,d):8return a*x**3+ b*x**2+ c*x + d
910# tilnærming til den deriverte11defdh(x,a,b,c,d):12return(h(x+0.0001,a,b,c,d)- h(x,a,b,c,d))/0.00011314# tilnærming til den dobbeltderiverte15defddh(x,a,b,c,d):16return(dh(x+0.0001,a,b,c,d)- dh(x,a,b,c,d))/0.00011718# legger inn måledataene i lister19x_verdier =[0,2,4,6,8,10,12]20y_verdier =[-9,-13,-12,-6,-3,-1,-7]2122# bruker metoden curve_fit og legger resultatene i to lister23konstanter,kovarians = curve_fit(h,x_verdier,y_verdier)2425# henter ut konstantene fra lista konstanter26a, b, c, d = konstanter
2728# lager utskrift av funksjonen29print(f"Funksjonen blir h(x) = {a:.3f}x^3 {b:+.2f}x^2 {c:+.2f}x {d:+.2f}.")3031# finner og plotter ekstremalpunktene32x_verdi =033trinn =0.0134while x_verdi <=12:35if dh(x_verdi,a,b,c,d)*dh(x_verdi+trinn,a,b,c,d)<0:36 nullpunkt = x_verdi +0.5*trinn
37if ddh(nullpunkt,a,b,c,d)>0:# dobbeltderiverttesten38 punkttype ="Bunnpunkt"39else:40 punkttype ="Toppunkt"41print(f"Funksjonen har et {punkttype.lower()} i ({nullpunkt:.2f}, {h(nullpunkt,a,b,c,d):.2f}).")42 plt.scatter(nullpunkt, h(nullpunkt,a,b,c,d), label = punkttype)43 x_verdi = x_verdi + trinn
4445# finner vendepunktene, ev. om de er terrassepunkter46x_verdi =047trinn =0.00148while x_verdi <=12:49if ddh(x_verdi,a,b,c,d)*ddh(x_verdi+trinn,a,b,c,d)<0:50 nullpunkt = x_verdi +0.5*trinn
51ifabs(dh(nullpunkt,a,b,c,d))< trinn:52print(f"Funksjonen har terrassepunkt og vendepunkt i ({nullpunkt:.2f}, {h(nullpunkt,a,b,c,d):.2f}).")53else:54print(f"Funksjonen har vendepunkt i ({nullpunkt:.2f}, {h(nullpunkt,a,b,c,d):.2f}).")55 plt.scatter(nullpunkt, h(nullpunkt,a,b,c,d), label ="Vendepunkt")# tegner vendepunktet56print(f"Da endres vannstanden med {dh(nullpunkt,a,b,c,d):.2f} cm/time.")57 x_verdi = x_verdi + trinn
5859# finner når funksjonen er lik -1060x_verdi =061trinn =0.000162while x_verdi <=12:63if(h(x_verdi+trinn,a,b,c,d)+10)*(h(x_verdi,a,b,c,d)+10)<0:64 nullpunkt = x_verdi +0.5*trinn
65print(f"Vannstanden er på -10 når x = {nullpunkt:.2f}.")66 plt.scatter(nullpunkt, h(nullpunkt,a,b,c,d), c=["black"])# tegner punktet67 x_verdi = x_verdi + trinn
6869# plotter dataene70plt.plot(x_verdier,y_verdier,'.', label ="Målinger")7172# plotter modellen73x_array = np.linspace(min(x_verdier),max(x_verdier),300)74y_array = h(x_array,a,b,c,d)75plt.plot(x_array,y_array,"brown", label ="Modell")76plt.grid(True)77plt.legend(bbox_to_anchor=(0.4,1))78plt.xlabel("Timer etter midnatt")# tittel på x-aksen79plt.ylabel("Avvik i cm fra middel vannstand")80plt.show()
Vi får følgende utskrift:
"Funksjonen blir h(x) = -0.066x^3 +1.15x^2 -4.19x -8.95.
Funksjonen har bunnpunkt i (2.24, -13.28).
Funksjonen har toppunkt i (9.42, -1.08).
Funksjonen har vendepunkt i (5.83, -7.18).
Da endres vannstanden med 2.55 cm/time.
Vannstanden er på -10 når x = 0.27.
Vannstanden er på -10 når x = 4.69."
Får du en graf lik den i oppgave b)?
Kommentarer til koden:
I linje 29 har vi lagt til en + i formateringskoden til utskriften. Plusstegnet tvinger Python til å ta med fortegnet til variabelen enten det er pluss eller minus. På denne måten blir det alltid riktig tegn mellom leddene i utskriften av funksjonsuttrykket.
I linje 41 har vi brukt metoden lower() for å få små bokstaver på punkttypen i setningen som skal skrives ut. (Vi har satt stor forbokstav på verdiene til punkttype fordi vi vil ha det i forklaringen i grafbildet.)
Tabellen viser temperatursvingningene gjennom et flott sommerdøgn i Mandal. Temperaturen er gitt i grader, og er antall timer etter midnatt.
Temperatur i Mandal
, timer etter midnatt
, temperatur i °C
0
19
1
17
4
15
7
17
9
19
10
21
12
25
13
26
15
27
17
26
20
24
22
22
24
18
a) Hvilken matematisk modell tror du kan passe med disse punktene?
Løsning
Vi legger punktene inn i regnearkdelen i GeoGebra, velger "Regresjonsanalyse" og observerer punktene i regresjonsanalysevinduet. Punktene ser ut omtrent som på figuren nedenfor. Da kan en tredjegradsfunksjon passe.
b) Finn en matematisk modell som beskriver temperaturen i Mandal dette døgnet.
Løsning
I regresjonsanalyseverktøyet velger vi polynom med grad 3 som regresjonsmodell.
Vi finner at tredjegradsfunksjonen
passer godt som modell for temperaturutviklingen.
Vi observerer at modellen passer best fram til klokka 15. Så synker den målte temperaturen litt raskere enn det modellen legger opp til.
c) Vurder gyldigheten til modellen du fant ovenfor når vi lar tiden etter midnatt bli mer enn 24 timer.
Løsning
Modellen vi fant, beskriver temperaturen de første 24 timene etter midnatt på en god måte. Utover 24 timer er modellen ubrukelig. Etter 24 timer vil temperaturen ifølge modellen stadig gå nedover.
d) Når endret temperaturen seg raskest etter modellen hvis vi holder oss til dette døgnet?
Løsning
Vi må lete etter eventuelle vendepunkter på grafen til . I tillegg må vi sjekke endepunktene på grafen.
I linje 3 og 4 får vi bekreftet at løsningen gir et vendepunkt der den deriverte har et toppunkt. Det betyr at etter modellen steg temperaturen mest rett før klokka halv elleve på formiddagen den dagen, og da steg den med 1,2°C per time.
Siden det ikke er flere vendepunkter på grafen til , må temperaturen ha sunket raskest enten 0 eller 24 timer etter midnatt. Linje 5 gir oss at temperaturen sank raskest 24 timer etter midnatt, og da sank temperaturen med minus 3,4°C per time.
e) Bruk programmet i oppgave 2 g) som utgangspunkt til å svare på oppgavene b) og d). Tegn grafen til .
Løsning
Vi tar utgangspunkt i programmet i oppgave 2 g).
Forslag til kode:
python
1# importerer nødvendige bibliotek2from scipy.optimize import curve_fit
3import numpy as np
4import matplotlib.pyplot as plt
56# lager funksjonen som beskriver modellen7defT(x,a,b,c,d):8return a*x**3+ b*x**2+ c*x + d
910# tilnærming til den deriverte11defdT(x,a,b,c,d):12return(T(x+0.0001,a,b,c,d)- T(x,a,b,c,d))/0.00011314# tilnærming til den dobbeltderiverte15defddT(x,a,b,c,d):16return(dT(x+0.0001,a,b,c,d)- dT(x,a,b,c,d))/0.00011718# legger inn måledataene i lister19x_verdier =[0,1,4,7,9,10,12,13,15,17,20,22,24]20y_verdier =[19,17,15,17,19,21,25,26,27,26,24,22,18]2122# bruker metoden curve_fit og legger resultatene i to lister23konstanter,kovarians = curve_fit(T,x_verdier,y_verdier)2425# henter ut konstantene fra lista konstanter26a, b, c, d = konstanter
2728# lager utskrift av funksjonen29print(f"Funksjonen blir T(x) = {a:.3f}x^3 {b:+.2f}x^2 {c:+.2f}x {d:+.2f}.")3031# finner vendepunktene, ev. om de er terrassepunkter32x_verdi =033trinn =0.00134while x_verdi <=12:35if ddT(x_verdi,a,b,c,d)*ddT(x_verdi+trinn,a,b,c,d)<0:36 nullpunkt = x_verdi +0.5*trinn
37ifabs(dT(nullpunkt,a,b,c,d))< trinn:38print(f"Funksjonen har terrassepunkt og vendepunkt i ({nullpunkt:.2f}, {T(nullpunkt,a,b,c,d):.2f}).")39else:40print(f"Funksjonen har vendepunkt i ({nullpunkt:.2f}, {T(nullpunkt,a,b,c,d):.2f}).")41 plt.scatter(nullpunkt, T(nullpunkt,a,b,c,d), label ="Vendepunkt")# tegner vendepunktet42print(f"Da endret temperaturen seg med {dT(nullpunkt,a,b,c,d):.2f} grader/time.")43 x_verdi = x_verdi + trinn
4445# finner temperaturendringen i endepunktene46print(f"Kl. 00.00 endret temperaturen seg med {dT(0,a,b,c,d):.2f} grader/time.")47print(f"Kl. 24.00 endret temperaturen seg med {dT(24,a,b,c,d):.2f} grader/time.")4849# plotter dataene50plt.plot(x_verdier,y_verdier,'.', label ="Målinger")5152# plotter modellen53x_array = np.linspace(min(x_verdier),max(x_verdier),300)54y_array = T(x_array,a,b,c,d)55plt.plot(x_array,y_array,"brown", label ="Modell")56plt.grid(True)57plt.legend(bbox_to_anchor=(0.4,1))58plt.xlabel("Timer etter midnatt")# tittel på x-aksen59plt.ylabel("Temperatur i °C")60plt.show()
Programmet gir følgende utskrift:
"Funksjonen blir T(x) = -0.008x^3 +0.26x^2 -1.50x +18.31.
Funksjonen har vendepunkt i (10.39, 21.48).
Da endret temperaturen seg med 1.21 grader/time.
Kl. 00.00 endret temperaturen seg med -1.50 grader/time.
Kl. 24.00 endret temperaturen seg med -3.43 grader/time."
Tabellen viser temperaturen i et kjøleskap de første timene etter et strømbrudd.
Temperatur i kjøleskapet
Antall timer etter strømbruddet
Temperatur i °C
0
4,0
4
4,4
8
6,0
12
8,9
16
12,5
20
17,9
a) Bruk et digitalt verktøy til å finne den eksponentialfunksjonen som passer best med tallene i tabellen. La være antall timer etter strømbruddet og temperaturen i kjøleskapet. Plott punktene og tegn grafen til uttrykket du finner.
Løsning
Vi skriver tallene inn i regnearkdelen i GeoGebra, markerer dem og velger verktøyet "Regresjonsanalyse" og modellen "Eksponentiell 2" (vi kan også velge "Eksponentiell"). Så kopierer vi grafen og punktene til grafikkfeltet.
Den eksponentielle funksjonen som passer best med punktene er
Vi ser at grafen passer godt til punktene.
b) Vurder gyldigheten til modellen framover i tid. Begrunn svaret ditt.
Løsning
Modellen vil gi en høyere og høyere temperatur i kjøleskapet. I virkeligheten vil temperaturen i kjøleskapet nærme seg temperaturen i rommet der kjøleskapet står. Modellen vår er nok ikke gyldig noe særlig lenger enn cirka 1 døgn etter strømbruddet.
c) Forklar hvorfor en logistisk modell vil være mer realistisk enn en eksponentiell modell på temperaturutviklingen i kjøleskapet.
Løsning
I en logistisk modell går funksjonen mot en fast verdi i stedet for å vokse over alle grenser. Det passer bedre med at temperaturen i kjøleskapet vil nærme seg mer og mer romtemperaturen ettersom tida går.
La oss nå anta at vi får greie på at temperaturen i kjøleskapet etter 22 timer er 20,0°C, etter 26 timer er den 21,2°C, og etter 30 timer er temperaturen i kjøleskapet 21,5°C.
d) Bruk et digitalt verktøy til å finne den logistiske funksjonen som passer best med opplysningene du nå har fått sammen med det du vet fra tidligere. Plott punktene og tegn grafen til uttrykket du finner.
Løsning
Vi skriver tallene inn nedenfor de tallene vi alt har i regnearkdelen i GeoGebra, markerer alle tallene og velger verktøyet "Regresjonsanalyse" og modellen "Logistisk". Så kopierer vi grafen og punktene til grafikkfeltet.
Den logistiske funksjonen som passer best med alle punktene, er
Vi ser at grafen passer relativt godt med punktene.
e) Vurder gyldigheten til denne modellen framover i tid. Begrunn svaret ditt.
Løsning
Brøken vil nærme seg 24,7 når blir stor. I virkeligheten vil temperaturen i kjøleskapet nærme seg temperaturen i rommet der kjøleskapet står. Modellen vår kan virke rimelig dersom romtemperaturen ligger jevnt på 24,7°C.
f) Når steg temperaturen mest, og hvor mye steg den da?
Løsning
Vi må lete etter eventuelle vendepunkter på grafen til .
I linje 3 og 4 kontrollerer vi at løsningen i linje 2 er -koordinaten til et vendepunkt. Vi får samtidig at grafen til går fra å vende den hule sida opp til å vende den hule sida ned ved vendepunktet slik at vi vet at den deriverte har et toppunkt her. Vi får at temperaturen steg raskest etter omtrent 15 timer, og da steg den med 9,5°C per time.
Sol Sikke ville finne ut hvordan en solsikke i hagen vokste fra uke til uke. Hun målte høyden til solsikken hver uke i 8 uker. De observerte verdiene ser du i tabellen nedenfor.
Høyde på solsikke
Uke
Høyde i cm
1
16
2
20
3
27
4
40
5
56
6
68
7
107
8
140
a) Plott punktene i et koordinatsystem, og finn et funksjonsuttrykk som passer til punktene.
Løsning
Vi skriver tallene inn i regnearkdelen i GeoGebra, markerer dem og velger verktøyet "Regresjonsanalyse". Det ser ut som kurven gjennom punktene stiger mer og mer. Her vil det være naturlig å prøve med eksponentiell regresjon. Vi velger modellen "Eksponentiell 2" og ser at den passer ganske godt med punktene.
Den eksponentielle funksjonen som passer best med punktene er
b) Vurder gyldigheten til modellen du fant i a).
Løsning
Det vil være naturlig at veksten til solsikken vil avta og etter hvert stoppe helt opp. Da kan vi ikke bruke det samme funksjonsuttrykket, siden eksponentialfunksjonen vil vokse over alle grenser når blir stor.
Sol Sikke fortsatte å måle solsikken sin i 4 uker til. Høydene ser du i tabellen nedenfor.
Høyde på solsikke
Uke
Høyde i cm
1
16
2
20
3
27
4
40
5
56
6
68
7
107
8
140
9
145
10
148
11
149
12
149
c) Finn et funksjonsuttrykk som passer til punktene.
Løsning
Vi skriver de nye tallene inn under tallene fra oppgave a) i regnearkdelen i GeoGebra, og så velger vi "Regresjonsanalyse". Siden veksten til solsikken stopper opp, prøver vi med logistisk modell.
Vi ser at en logistisk modell passer godt med punktene. Den logistiske modellen som passer best med punktene, er
d) Marker datamaterialet fra tabellen ovenfor som punkter i et koordinatsystem. Tegn grafen til den logistiske funksjonen du fant i c) i det samme koordinatsystemet.
Løsning
I regresjonsanalyseverktøyet velger vi "Kopier til grafikkfeltet".
e) Hva betyr tallet i telleren i ?
Løsning
Her betyr tallet i telleren den maksimale høyden solsikken får etter modellen, som er 159 cm.
f) Vurder gyldigheten til modellen du fant i c).
Løsning
Denne modellen treffer ikke like godt som modellen i a) de første 8 ukene. Etter uke 8, når veksten flater ut, passer modellen i c) bra de neste 4 ukene, men det er usikkert om solsikken blir så høy som 159 cm. Totalt sett kan vi vel likevel si at den logistiske modellen passer best.
Solsikken vil etter hvert visne, så modellen vil ikke være gyldig veldig langt fram i tid.
g) Når vokste solsikken raskest etter modellen i c), og hvor raskt vokste den da?
Løsning
Vi må lete etter eventuelle vendepunkter på grafen til .
I linje 3 og 4 kontrollerer vi at løsningen i linje 2 er -koordinaten til et vendepunkt. Vi får samtidig at grafen til går fra å vende den hule sida opp til å vende den hule sida ned ved vendepunktet, slik at vi vet at den deriverte har et toppunkt her. Vi får at solsikken vokste raskest etter omtrent 6 uker, og da vokste den med 25 cm per uke.
I februar 2020 ble det for første gang registrert nordmenn med koronasmitte. Nedenfor kan du laste ned et GeoGebra-ark med tallene for totalt antall smittede nordmenn til og med mars 2021. Tallene er hentet fra Folkehelseinstituttets nettsider.