Hopp til innhald
Nynorsk
Oppgåve

Modellering med ukjend funksjonen

Øv på å lage matematiske modellar sjølv og analysere modellane du kjem fram til. Nedst på sida kan du laste ned oppgåvene som Word- og pdf-dokument.

Oppgåve 1

a) Vi skal lage ei eske utan lokk av ei rektangelforma papplate med sider 50 cm og 40 cm. Vi gjer dette ved å klippe ut eit kvadrat i kvart hjørne. Deretter brettar vi opp kantane og får ei eske med høgde lik sidekanten av kvadratet vi klipte bort. Sjå figuren nedanfor.

Vi ønskjer at volumet av eska skal bli så stort som mogleg. Kor stor er sidekanten i dei kvadrata vi klipper bort då?

Tips til oppgåva

Jo større kvadrat vi klipper bort, jo høgare blir eska, men desto mindre blir eskebotnen. Kall sidekanten i kvadrata for x, og lag ein funksjon Vx for volumet av eska.

Merk: Kva verdiar kan x ha?

Løysing

Når vi klipper bort kvadrat med sidekant lik x, vil måla på eskebotnen vere 2x kortare enn yttermåla på papplata. Måla på eskebotnen blir derfor som på figuren nedanfor.

Vi finn volumet ved å multiplisere arealet av eskebotnen med høgda av eska, som er x. Vi løyser oppgåva med CAS.

Merk at vi ikkje kan bruke løysinga  x=22,64  i linje 3 fordi vi ikkje kan klippe bort så mykje. Vi bruker dobbeltderiverttesten i linje 4 og ser at grafen til V vender den hole sida ned når  x=7,36. Dermed veit vi at grafen har eit toppunkt her.

Eska får altså størst volum når vi klipper bort kvadrat med sidekant 7,36 cm, og då er volumet av eska 6 564 cm3 eller 6,6 dm3.

b) Gjenta oppgåve a), men no med utgangspunkt i ei papplate med sider 60 cm og 30 cm (som har den same omkrinsen som papplata i a)). Kva slags form trur du papplata må ha for at volumet av eska skal bli størst mogleg når omkrinsen av papplata du startar med, skal vere fast?

Delvis fasit

Eska får størst volum når vi klipper bort kvadrat med sidekant 6,34 cm, og då er volumet av eska 5 196 cm3 eller 5,2 dm3.

Dette volumet er mindre enn volumet på eska i oppgåve a). Det kan sjå ut som at det største moglege volumet aukar jo meir like sidene i papplata er.

c) Gjennomfør utrekningane på nytt med ei papplate med like store sidekantar (og den same omkrinsen som før).

Fasit og kommentar

Papplata blir no eit kvadrat med sidekantar med lengde 45 cm.

Ved å gjere dei same utrekningane i CAS som før får vi at volumet av eska er størst om det blir klipt bort kvadrat med sidekant 7,5 cm. Då blir volumet 6 750 cm3 eller 6,75 dm3.

Merk at vi har ikkje bevist at det er papplata i oppgåve c) som gir størst eskevolum når omkrinsen på papplata ikkje blir endra.

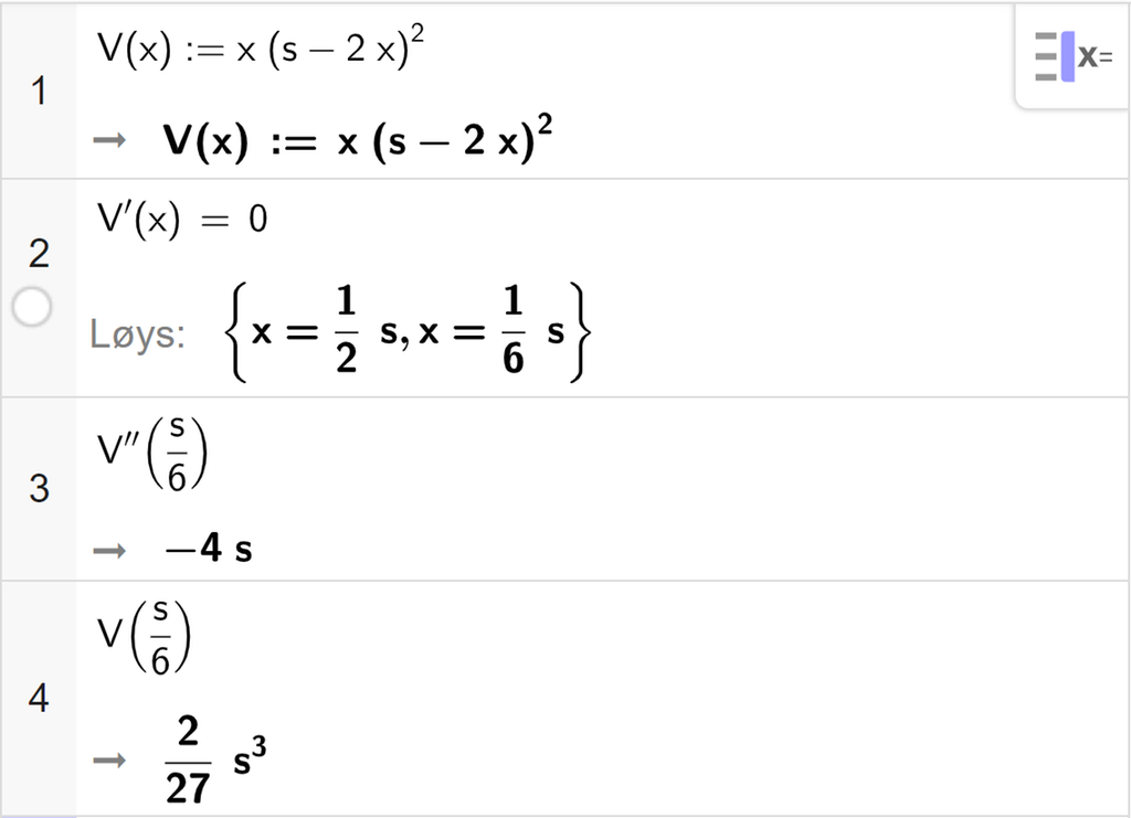
d) Gjenta oppgåve a), men no med utgangspunkt i ei kvadratisk papplate med sidekant s (og ukjend omkrins).

Løysing

Merk at vi ikkje kan bruke løysinga  x=12s  i linje 2. (Kva er forresten grunnen til det?) Sidan vi har at  s>0, får vi stadfesta i linje 3 at grafen til V vil ha eit toppunkt for  x=16s .

Volumet av eska blir størst dersom vi klipper bort kvadrat som er ein seksdel av heile sida på papplata, og då blir volumet 227s3.

Kontroller at desse resultata stemmer med utrekningane i oppgåve c).

Merk òg at dette heller ikkje er bevis åleine på at det blir størst volum på eska dersom papplata med ein gitt omkrins er kvadratisk.

e) Utfordring

Vi skal no prøve å finne ut om det faktisk blir størst volum på eska når papplata med ein gitt omkrins er kvadratisk.

Ta utgangspunkt i ei rektangulær papplate med ein omkrins O. Kall lengda av papplata y, og finn eit uttrykk for breidda som funksjon av O og y. Vi skal som før klippe bort 4 små kvadrat med sidekant x for å lage eska.

Finn eit uttrykk for volumet av eska, og bruk derivasjon til å vise at volumet blir størst når papplata med omkrins O er kvadratisk.

Løysing

I linje 1 skriv vi opp formelen for omkrinsen til eit rektangel der lengda er y, og breidda har vi kalla b. Denne formelen blir løyst med omsyn på b slik at vi får eit uttrykk for breidda, slik oppgåva krev. I linje 2 skriv vi inn volumfunksjonen V omtrent som tidlegare i oppgåva.

Vi er no interesserte i å sjå korleis volumet endrar seg når vi endrar på y. For å finne den største verdien for volumet når vi endrar på y, må vi derivere V med omsyn på y. Då bruker vi kommandoen "Derivert()", som gjer at vi kan bestemme at vi skal derivere med omsyn på y i staden for x. Vi set den deriverte lik 0 og løyser likninga med omsyn på y. Svaret seier at volumfunksjonen har eit ekstremalpunkt for  y=14O, som er når papplata er kvadratisk. Vi må sjekke at løysinga i linje 3 er eit toppunkt. Til det bruker vi dobbeltderiverttesten. I linje 4 finn vi uttrykket for den dobbeltderiverte, som ikkje varierer med y og alltid er negativt. Då er løysinga i linje 3 eit toppunkt, og vi har vist at ut ifrå ei rektangulær papplate med ein gitt omkrins blir eskevolumet størst når papplata er kvadratisk.

f) Utfordring

Finn eit uttrykk for det største volumet eska kan ha når omkrinsen til papplata er O.

Løysing

I linje 5 lagar vi ein ny funksjon V2x ut ifrå resultatet i den førre deloppgåva. Vi finn ekstremalpunkta til denne i linje 2, og vi ser at løysinga  x=18O  ikkje kan brukast, for då blir heile papplata klipt bort. I linje 7 viser vi med dobbeltderiverttesten at den første løysinga i linje 2 gir eit toppunkt. I linje 8 får vi at det maksimale volumet Vmaks eska kan få med ein gitt omkrins O, er

Vmaks=1864O3

Oppgåve 2

Tabellen viser observert vasstand på Tregde 1. februar 2008. Observert vasstand er i cm over (middel vasstand). I tabellen er x timar etter midnatt, og h er høgda målt i cm over middelvatn.

Vasstand

x, timar etter midnatt

h, vasstand i cm

0-9
2-13
4-12
6-6
8-3
10-1
12-7

a) Bruk eit digitalt hjelpemiddel, og finn det tredjegradsuttrykket som passar best med verdiane i tabellen.

Løysing

Vi legg punkta inn i reknearkdelen i GeoGebra og vel "Regresjonsanalyse" og polynom av grad 3 som regresjonsmodell.

Vi finn at vi kan beskrive funksjonen h med uttrykket

hx=-0,066x3+1,15x2-4,19x-8,95

Vi ser at grafen treffer godt med dei observerte verdiane. Merk at vasstanden var spesielt låg denne dagen sidan det ikkje vart målt verdiar over middelvatn.

b) Bruk mellom anna derivasjon til å gi ei skildring av vasstanden denne dagen.

Løysing

Vi må finne ut når vasstanden var høgast og lågast, og når vasstanden steig og sokk raskast. Vi kopierer resultatet frå regresjonsanalysevindauget over til grafikkfeltet. Då slepp vi å skrive inn funksjonen på nytt i CAS-vindauget.

Vi får av linje 1, 2, 3 og 6 at vasstanden var lågast cirka klokka kvart over 2 på natta. Då var vasstanden 13,3 cm under middelvatn. Vasstanden var høgast rett før klokka halv 10 på formiddagen, og då var han 1,1 cm under middelvatn. Frå linje 3, 4, 5 og 7 har vi at grafen til h har eit vendepunkt for  x=5,83, og vi får at vasstanden steig raskast rett før klokka 6 på morgonen. Då steig han med 2,6 cm per time. Dersom vi held oss til dei 12 første timane av døgnet, sokk vasstanden mest klokka 12, med 5,0 cm per time. Dersom vi går utanfor dei 12 timane, veit vi at tredjegradsfunksjonen blir brattare og brattare, og det er derfor ikkje realistisk å gå noko særleg utanfor dette tidsrommet.

Kommentar: Merk at sidan vi har rekna ut to verdiar for den dobbeltderiverte i linje 3 på kvar si side av nullpunktet til den dobbeltderiverte, har vi det vi treng for å avgjere om nullpunktet er x-koordinaten til eit vendepunkt.

Vi ser at grafen er lågare enn botnpunktet dersom vi ser på tidsrommet etter klokka 13, men vi veit eigentleg ikkje kor lågt det går eller kor langt ut i tid modellen gjeld. Vi kan i alle fall seie at mellom midnatt og klokka 12 var den lågaste vasstanden minus 13,4 cm under middels vasstand, og det var klokka 02.15 på natta.

c) Ein større båt skal leggje til kai i nærleiken av Tregde. Båten kan ikkje kome inn til kaia dersom vasstanden er lågare enn 10 cm under middel vasstand. I kva tidsrom kan båten gå inn til kaia?

Løysing

Vi må sjå der grafen har verdiar over -10. Vi kan sjå av grafen at frå litt før klokka 05.00 til litt etter klokka 12.00 kan båten gå til kai ved Tregde. Det er òg nokre minutt rett etter midnatt det vil vere teoretisk mogleg å leggje til, men kanskje ikkje i praksis.

d) Vurder gyldigheita til modellen lengre fram i tid.

Løysing

Vi sjekkar kva verdi vi får 24 timar etter midnatt.

1 døgn (24 timar) etter midnatt viser modellen eit avvik på -360 cm frå middel vasstand. Det er urealistisk, så modellen er ikkje gyldig fram i tid.

Til slutt skal du løyse oppgåve a), b) og c) med Python og teikne grafen inkludert ekstremalpunkta, vendepunkt og punkt som markerer grensene for når den store båten kan gå inn til kaia. Vi tek det stegvis:

e) Skriv koden til ein eigendefinert funksjon h som skal brukast til regresjonen med "curve_fit" på tilsvarande måte som den eigendefinerte funksjonen modell på sida Eksponentialfunksjonen som modell. Regresjon.

Tips til oppgåva

Vi ønsker å finne den tredjegradsfunksjonen som passar best til målingane. Korleis ser den generelle tredjegradsfunksjonen ut?

Løysing

Den generelle tredjegradsfunksjonen kan skrivast som

hx=a·x3+b·x2+c·x+d

Den eigendefinerte funksjonen må innehalde dei fire ubestemde konstantane i tillegg til x. Funksjonen kan sjå slik ut:

def h(x,a,b,c,d):
return a*x**3 + b*x**2 + c*x + d

f) Lag eigendefinerte funksjonar dh og ddh som bereknar verdiar for den deriverte og den dobbeltderiverte funksjonen.

Tips til oppgåva

Bruk desse tilnærmingane for å gjere berekningar av den deriverte og den dobbeltderiverte:

h'x  hx+x-hxxh''x  h'x+x-h'xx

I tilnærmingane kan du sette x=0,000 1.

Løysing

Forslag til kode:

python
1        # tilnærming til den deriverte
2def dh(x,a,b,c,d):
3  return (h(x+0.0001,a,b,c,d) - h(x,a,b,c,d))/0.0001
4  
5        # tilnærming til den dobbeltderiverte
6def ddh(x,a,b,c,d):
7  return (dh(x+0.0001,a,b,c,d) - dh(x,a,b,c,d))/0.0001

Legg merke til at vi i tillegg til x må ha med dei fire konstantane a, b, c og d som parametrar i funksjonane siden vi ikkje veit kva dei er før sjølve regresjonen er utført.

g) Skriv ferdig koden som løyser oppgåve a), b) og c) med Python. Hugs å få med kode som teiknar grafen inkludert ekstremalpunkta og vendepunktet.

Tips til oppgåva

Sjå òg koden i oppgåve 3.1.40 b) på sida Analyse av funksjonar – omgrep.

Løsning

Forslag til kode:

python
1        # importerer nødvendige bibliotek
2from scipy.optimize import curve_fit
3import numpy as np
4import matplotlib.pyplot as plt
5
6        # lagar funksjonen som beskriv modellen
7def h(x,a,b,c,d):
8  return a*x**3 + b*x**2 + c*x + d
9  
10        # tilnærming til den deriverte
11def dh(x,a,b,c,d):
12  return (h(x+0.0001,a,b,c,d) - h(x,a,b,c,d))/0.0001
13  
14        # tilnærming til den dobbeltderiverte
15def ddh(x,a,b,c,d):
16  return (dh(x+0.0001,a,b,c,d) - dh(x,a,b,c,d))/0.0001
17  
18        # legg inn måledataa i lister
19x_verdiar = [0,2,4,6,8,10,12]
20y_verdiar = [-9,-13,-12,-6,-3,-1,-7]
21
22        # bruker metoden curve_fit og legg resultata i to lister
23konstantar,kovarians = curve_fit(h,x_verdiar,y_verdiar)
24
25        # hentar ut konstantane frå lista konstantar
26a, b, c, d = konstantar
27
28        # lagar utskrift av funksjonen
29print(f"Funksjonen blir h(x) = {a:.3f}x^3 {b:+.2f}x^2 {c:+.2f}x {d:+.2f}.")
30
31        # finn og plottar ekstremalpunkta
32x_verdi = 0
33trinn = 0.01
34while x_verdi <= 12:
35  if dh(x_verdi,a,b,c,d)*dh(x_verdi+trinn,a,b,c,d) < 0:
36    nullpunkt = x_verdi + 0.5*trinn
37    if ddh(nullpunkt,a,b,c,d) > 0:     # dobbeltderiverttesten
38      punkttype = "Botnpunkt"
39    else:
40      punkttype = "Toppunkt"
41    print(f"Funksjonen har eit {punkttype.lower()} i ({nullpunkt:.2f}, {h(nullpunkt,a,b,c,d):.2f}).")
42    plt.scatter(nullpunkt, h(nullpunkt,a,b,c,d), label = punkttype)
43  x_verdi = x_verdi + trinn
44  
45        # finn vendepunkta, ev. om dei er terrassepunkt
46x_verdi = 0
47trinn = 0.001
48while x_verdi <= 12:
49  if ddh(x_verdi,a,b,c,d)*ddh(x_verdi+trinn,a,b,c,d) < 0:
50    nullpunkt = x_verdi + 0.5*trinn
51    if abs(dh(nullpunkt,a,b,c,d)) < trinn:
52      print(f"Funksjonen har terrassepunkt og vendepunkt i ({nullpunkt:.2f}, {h(nullpunkt,a,b,c,d):.2f}).")
53    else:
54      print(f"Funksjonen har vendepunkt i ({nullpunkt:.2f}, {h(nullpunkt,a,b,c,d):.2f}).")
55    plt.scatter(nullpunkt, h(nullpunkt,a,b,c,d), label = "Vendepunkt")        # teiknar vendepunktet
56    print(f"Då endrar vasstanden seg med {dh(nullpunkt,a,b,c,d):.2f} cm/time.")
57  x_verdi = x_verdi + trinn
58  
59        # finn når funksjonen er lik -10
60x_verdi = 0
61trinn = 0.0001
62while x_verdi <= 12:
63  if (h(x_verdi+trinn,a,b,c,d) + 10)*(h(x_verdi,a,b,c,d) + 10) < 0:
64    nullpunkt = x_verdi + 0.5*trinn
65    print(f"Vasstanden er på -10 når x = {nullpunkt:.2f}.")
66    plt.scatter(nullpunkt, h(nullpunkt,a,b,c,d), c=["black"])        # teiknar punktet
67  x_verdi = x_verdi + trinn
68  
69        # plottar dataa
70plt.plot(x_verdiar,y_verdiar,'.', label = "Målingar")
71
72        # plottar modellen
73x_array = np.linspace(min(x_verdiar),max(x_verdiar),300)
74y_array = h(x_array,a,b,c,d)
75plt.plot(x_array,y_array,"brown", label = "Modell")
76plt.grid(True)
77plt.legend(bbox_to_anchor=(0.4,1))
78plt.xlabel("Timar etter midnatt") # tittel på x-aksen
79plt.ylabel("Avvik i cm frå middel vasstand")
80plt.show()

Vi får denne utskrifta:

"Funksjonen blir h(x) = -0.066x^3 +1.15x^2 -4.19x -8.95.

Funksjonen har eit botnpunkt i (2.24, -13.28).

Funksjonen har eit toppunkt i (9.42, -1.08).

Funksjonen har vendepunkt i (5.83, -7.18).

Då endrar vasstanden seg med 2.55 cm/time.

Vasstanden er på -10 når x = 0.27.

Vasstanden er på -10 når x = 4.69."

Får du ein graf lik den i oppgåve b)?

Kommentarar til koden:

  • I linje 29 har vi lagt til ein + i formateringskoden til utskrifta. Plussteiknet tvingar Python til å ta med forteiknet til variabelen anten det er pluss eller minus. På denne måten blir det alltid rett teikn mellom ledda i utskrifta av funksjonsuttrykket.

  • I linje 41 har vi brukt metoden lower() for å få små bokstavar på punkttypen i setninga som skal skrivast ut. (Vi har sett stor forbokstav på verdiane til punkttype fordi vi vil ha det i forklaringa i grafbiletet.)

Oppgåve 3

Tabellen viser temperatursvingingane gjennom eit flott sommardøgn i Mandal. Temperaturen T er gitt i grader, og x er talet på timar etter midnatt.

Temperatur i Mandal

x, timar etter midnatt

T, temperatur i °C

019
117
415
717
919
1021
1225
1326
1527
1726
2024
2222
2418

a) Kva for ein matematisk modell trur du kan passe med desse punkta?

Løysing

Vi legg punkta inn i reknearkdelen i GeoGebra, vel "Regresjonsanalyse" og observerer punkta i regresjonsanalysevindauget. Punkta ser ut omtrent som på figuren nedanfor. Då kan ein tredjegradsfunksjon passe.

b) Finn ein matematisk modell som beskriv temperaturen i Mandal dette døgnet.

Løysing

I regresjonsanalyseverktøyet vel vi polynom med grad 3 som regresjonsmodell.

Vi finn at tredjegradsfunksjonen

Tx=-0,008x3+0,261x2-1,5x+18,3

passar godt som modell for temperaturutviklinga.

Vi observerer at modellen passar best fram til klokka 15. Så søkk den målte temperaturen litt raskare enn det modellen legg opp til.

c) Vurder gyldigheita til modellen du fann ovanfor når vi lèt tida x etter midnatt bli meir enn 24 timar.

Løysing

Modellen vi fann, beskriv temperaturen dei første 24 timane etter midnatt på ein god måte. Utover 24 timar er modellen ubrukeleg. Etter 24 timar vil temperaturen ifølgje modellen stadig gå nedover.

d) Når endra temperaturen seg raskast etter modellen dersom vi held oss til dette døgnet?

Løysing

Vi må leite etter eventuelle vendepunkt på grafen til T. I tillegg må vi sjekke endepunkta på grafen.

I linje 3 og 4 får vi stadfesta at løysinga  x=10,4  er x-koordinaten til eit vendepunkt der den deriverte har eit toppunkt. Det betyr at etter modellen steig temperaturen mest rett før klokka halv elleve på formiddagen den dagen, og då steig han med 1,2°C per time.

Sidan det ikkje er fleire vendepunkt på grafen til T, må temperaturen ha sokke raskast anten 0 eller 24 timar etter midnatt. Linje 5 gir oss at temperaturen sokk raskast 24 timar etter midnatt, og då sokk temperaturen med minus 3,4°C per time.

e) Bruk programmet i oppgåve 2 g) som utgangspunkt til å svare på oppgåvene b) og d). Teikn grafen til T.

Løsning

Vi tek utgangspunkt i programmet i oppgåve 2 g).

Forslag til kode:

python
1        # importerer nødvendige bibliotek
2from scipy.optimize import curve_fit
3import numpy as np
4import matplotlib.pyplot as plt
5
6        # lagar funksjonen som beskriv modellen
7def T(x,a,b,c,d):
8  return a*x**3 + b*x**2 + c*x + d
9  
10        # tilnærming til den deriverte
11def dT(x,a,b,c,d):
12  return (T(x+0.0001,a,b,c,d) - T(x,a,b,c,d))/0.0001
13  
14        # tilnærming til den dobbeltderiverte
15def ddT(x,a,b,c,d):
16  return (dT(x+0.0001,a,b,c,d) - dT(x,a,b,c,d))/0.0001
17  
18        # legg inn måledataa i lister
19x_verdiar = [0,1,4,7,9,10,12,13,15,17,20,22,24]
20y_verdiar = [19,17,15,17,19,21,25,26,27,26,24,22,18]
21
22        # bruker metoden curve_fit og legg resultata i to lister
23konstantar,kovarians = curve_fit(T,x_verdiar,y_verdiar)
24
25        # hentar ut konstantane frå lista konstantar
26a, b, c, d = konstantar
27
28        # lagar utskrift av funksjonen
29print(f"Funksjonen blir T(x) = {a:.3f}x^3 {b:+.2f}x^2 {c:+.2f}x {d:+.2f}.")
30
31        # finn vendepunkta, ev. om dei er terrassepunkt
32x_verdi = 0
33trinn = 0.001
34while x_verdi <= 12:
35  if ddT(x_verdi,a,b,c,d)*ddT(x_verdi+trinn,a,b,c,d) < 0:
36    nullpunkt = x_verdi + 0.5*trinn
37    if abs(dT(nullpunkt,a,b,c,d)) < trinn:
38      print(f"Funksjonen har terrassepunkt og vendepunkt i ({nullpunkt:.2f}, {T(nullpunkt,a,b,c,d):.2f}).")
39    else:
40      print(f"Funksjonen har vendepunkt i ({nullpunkt:.2f}, {T(nullpunkt,a,b,c,d):.2f}).")
41    plt.scatter(nullpunkt, T(nullpunkt,a,b,c,d), label = "Vendepunkt")        # teiknar vendepunktet
42    print(f"Då endra temperaturen seg med {dT(nullpunkt,a,b,c,d):.2f} gradar/time.")
43  x_verdi = x_verdi + trinn
44  
45        # finn temperaturendringa i endepunkta
46print(f"Kl. 00.00 endra temperaturen seg med {dT(0,a,b,c,d):.2f} gradar/time.")
47print(f"Kl. 24.00 endra temperaturen seg med {dT(24,a,b,c,d):.2f} gradar/time.")
48
49        # plottar dataa
50plt.plot(x_verdiar,y_verdiar,'.', label = "Målingar")
51
52        # plottar modellen
53x_array = np.linspace(min(x_verdiar),max(x_verdiar),300)
54y_array = T(x_array,a,b,c,d)
55plt.plot(x_array,y_array,"brown", label = "Modell")
56plt.grid(True)
57plt.legend(bbox_to_anchor=(0.4,1))
58plt.xlabel("Timar etter midnatt") # Tittel på x-aksen
59plt.ylabel("Temperatur i °C")
60plt.show()

Programmet gir denne utskrifta:

"Funksjonen blir T(x) = -0.008x^3 +0.26x^2 -1.50x +18.31.

Funksjonen har vendepunkt i (10.39, 21.48).

Då endra temperaturen seg med 1.21 gradar/time.

Kl. 00.00 endra temperaturen seg med -1.50 gradar/time.

Kl. 24.00 endra temperaturen seg med -3.43 gradar/time."

Oppgåve 4

Tabellen viser temperaturen i eit kjøleskap dei første timane etter eit straumbrot.

Temperatur i kjøleskapet

Talet på timar etter straumbrotet

Temperatur i °C

04,0
44,4
86,0
128,9
1612,5
2017,9

a) Bruk eit digitalt verktøy til å finne den eksponentialfunksjonen som passar best med tala i tabellen. La x vere talet på timar etter straumbrotet og Tx temperaturen i kjøleskapet. Plott punkta og teikn grafen til uttrykket du finn.

Løysing

Vi skriv tala inn i reknearkdelen i GeoGebra, markerer dei og vel verktøyet "Regresjonsanalyse" og modellen "Eksponentiell 2" (vi kan òg velje "Eksponentiell"). Så kopierer vi grafen og punkta til grafikkfeltet.

Den eksponentielle funksjonen som passar best med punkta er

Tx=3,51 e0,079x

Vi ser at grafen passar godt til punkta.


b) Vurder gyldigheita til modellen framover i tid. Grunngi svaret ditt.

Løysing

Modellen vil gi ein høgare og høgare temperatur i kjøleskapet. I verkelegheita vil temperaturen i kjøleskapet nærme seg temperaturen i rommet der kjøleskapet står. Modellen vår er nok ikkje gyldig noko særleg lenger enn cirka 1 døgn etter straumbrotet.

c) Forklar kvifor ein logistisk modell vil vere meir realistisk enn ein eksponentiell modell på temperaturutviklinga i kjøleskapet.

Løysing

I ein logistisk modell går funksjonen mot ein fast verdi i staden for å vekse over alle grenser. Det passar betre med at temperaturen i kjøleskapet vil nærme seg meir og meir romtemperaturen sidan tida går.

La oss no gå ut frå at vi får greie på at temperaturen i kjøleskapet etter 22 timar er 20,0°C, etter 26 timar er han 21,2°C, og etter 30 timar er temperaturen i kjøleskapet 21,5°C.

d) Bruk eit digitalt verktøy til å finne den logistiske funksjonen som passar best med opplysningane du no har fått saman med det du veit frå tidlegare. Plott punkta og teikn grafen til uttrykket du finn.

Løysing

Vi skriv tala inn nedanfor dei tala vi alt har i reknearkdelen i GeoGebra, markerer alle tala og vel verktøyet "Regresjonsanalyse" og modellen "Logistisk". Så kopierer vi grafen og punkta til grafikkfeltet.

Den logistiske funksjonen som passar best med alle punkta, er

TLx=24,71+9,61 e-0,15x

Vi ser at grafen passar relativt godt med punkta.

e) Vurder gyldigheita til denne modellen framover i tid. Grunngi svaret ditt.

Løysing

Brøken 24,71+9,61 e-0,15x vil nærme seg 24,7 når x blir stor. I verkelegheita vil temperaturen i kjøleskapet nærme seg temperaturen i rommet der kjøleskapet står. Modellen vår kan verke rimeleg dersom romtemperaturen ligg jamt på 24,7°C.

f) Når steig temperaturen mest, og kor mykje steig han då?

Løysing

Vi må leite etter eventuelle vendepunkt på grafen til TL.

I linje 3 og 4 kontrollerer vi at løysinga i linje 2 er x-koordinaten til eit vendepunkt. Vi får samtidig at grafen til TL går frå å vende den hole sida opp til å vende den hole sida ned ved vendepunktet slik at vi veit at den deriverte har eit toppunkt her. Vi får at temperaturen steig raskast etter omtrent 15 timar, og då steig han med 9,5°C per time.

Oppgåve 5

Sol Sikke ville finne ut korleis ei solsikke i hagen vaks frå veke til veke. Ho målte høgda til solsikka kvar veke i 8 veker. Dei observerte verdiane ser du i tabellen nedanfor.

Høgde på solsikke

Veke

Høgde i cm

116
220
327
440
556
668
7107
8140

a) Plott punkta i eit koordinatsystem, og finn eit funksjonsuttrykk fx som passar til punkta.

Løysing

Vi skriv tala inn i reknearkdelen i GeoGebra, markerer dei og vel verktøyet "Regresjonsanalyse". Det ser ut som kurva gjennom punkta stig meir og meir. Her vil det vere naturleg å prøve med eksponentiell regresjon. Vi vel modellen "Eksponentiell 2" og ser at han passar ganske godt med punkta.

Den eksponentielle funksjonen som passar best med punkta er

fx=11 e0,32x

b) Vurder gyldigheita til modellen du fann i a).

Løysing

Det vil vere naturleg at veksten til solsikka vil minke og etter kvart stoppe heilt opp. Då kan vi ikkje bruke det same funksjonsuttrykket, sidan eksponentialfunksjonen vil vekse over alle grenser når x blir stor.

Sol Sikke heldt fram med å måle solsikka si i 4 veker til. Høgdene ser du i tabellen nedanfor.

Høgde på solsikke

Veke

Høgde i cm

116
220
327
440
556
668
7107
8140
9145
10148
11149
12149

c) Finn eit funksjonsuttrykk gx som passar til punkta.

Løysing

Vi skriv dei nye tala inn under tala frå oppgåve a) i reknearkdelen i GeoGebra, og så vel vi "Regresjonsanalyse". Sidan veksten til solsikka stoppar opp, prøver vi med logistisk modell.

Vi ser at ein logistisk modell passar godt med punkta. Den logistiske modellen som passar best med punkta, er

gx=158,91+37,53 e-0,62x

d) Marker datamaterialet frå tabellen ovanfor som punkt i eit koordinatsystem. Teikn grafen til den logistiske funksjonen du fann i c) i det same koordinatsystemet.

Løysing

I regresjonsanalyseverktøyet vel vi "Kopier til grafikkfeltet".

e) Kva betyr talet i teljaren i gx?

Løysing

Her betyr talet i teljaren den maksimale høgda solsikka får etter modellen, som er 159 cm.

f) Vurder gyldigheita til modellen du fann i c).

Løysing

Denne modellen treffer ikkje like godt som modellen i a) dei første 8 vekene. Etter veke 8, når veksten flatar ut, passar modellen i c) bra dei neste 4 vekene, men det er uvisst om solsikka blir så høg som 159 cm. Totalt sett kan vi vel likevel seie at den logistiske modellen passar best.

Solsikka vil etter kvart visne, så modellen vil ikkje vere gyldig veldig langt fram i tid.

g) Når vaks solsikka raskast etter modellen i c), og kor raskt vaks ho då?

Løysing

Vi må leite etter eventuelle vendepunkt på grafen til g.

I linje 3 og 4 kontrollerer vi at løysinga i linje 2 er x-koordinaten til eit vendepunkt. Vi får samtidig at grafen til g går frå å vende den hole sida opp til å vende den hole sida ned ved vendepunktet, slik at vi veit at den deriverte har eit toppunkt her. Vi får at solsikka vaks raskast etter omtrent 6 veker, og då vaks ho med 25 cm per veke.

Oppgåve 6

I februar 2020 vart det for første gong registrert nordmenn med koronasmitte. Nedanfor kan du laste ned eit GeoGebra-ark med tala for det samla talet på smitta nordmenn til og med mars 2021. Tala er henta frå Folkehelseinstituttet sine nettsider.

Prøv deg fram med ulike matematiske modellar, og finn nokre som passar med tala. Vurder spesielt om ein logistisk modell kan brukast.

Kjelde

Folkehelseinstituttet. (2024, 4. januar). Ukerapporter om covid-19, influensa og andre luftveisinfeksjoner. Henta 9. januar 2024 frå https://www.fhi.no/publ/statusrapporter/luftveisinfeksjoner/#alle-ukerapporter-2020-2023

Nedlastbare filer

Her kan du laste ned oppgåvene som Word- og pdf-dokument.

Skrive av Stein Aanensen, Olav Kristensen og Bjarne Skurdal.
Sist oppdatert 03.09.2025