Hopp til innhold
Bokmål
Logg inn
Søk
Meny
NDLA forside
Matematikk S2
Statistikk
Statistiske fordelinger. Normalfordelingen
Statistiske fordelinger. Normalfordelingen
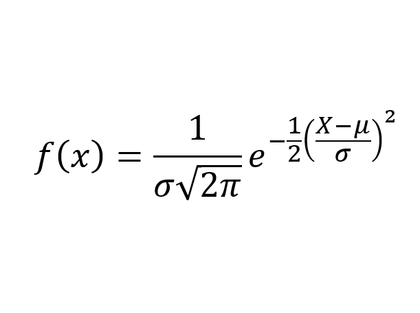
Her får du en innføring i normalfordelingen og hvordan den kan brukes for å tilnærme sannsynlighet selv om variabelen vi undersøker, ikke egentlig er normalfordelt.
Vis kompetansemål
Sitere eller gjenbruke?